Транзистор на
нанотрубке: что у него
под порогом и что над порогом
В Stanford Univ. (США) изготовлен полевой транзистор на одностенной углеродной нанотрубке (SWCN) [1]. Этот транзистор показал рекордно высокий наклон подпороговой характеристики – 60мВ/дек при комнатной температуре, что фактически достигает теоретического предела. Эта величина означает, что сдвиг напряжения на затворе на 60мВ приводит к уменьшению тока транзистора в 10 раз (на декаду). Напомним, что в подпороговом режиме (т.е. в закрытом состоянии транзистора- OFF) ток утечки между контактами истока и стока обусловлен термоэмиссией. Электроны протекают над потенциальным барьером, высота которого регулируется напряжением на затворе. В результате того, что присутствует некоторое падение напряжения на подзатворном диэлектрике и по толщине канала, наклон подпороговой характеристики становится меньше предельного значения. Вплотную подойти к теоретическому пределу удалось за счет малого поперечного размера нанотрубки (1.2нм) и применения диэлектрика с высокой диэлектрической проницаемостью (high-k) – HfO2. В результате этого потенциал внутри нанотрубки практически совпадает с потенциалом затвора. Большая крутизна подпороговой характеристики обеспечивает малые токи утечки между истоком и стоком в закрытом состоянии транзистора. При уменьшении размеров транзисторов и увеличении степени их интеграции в СБИС токи утечки приводят к сильному разогреву схемы.
Исследователи использовали также покрытие нанотрубки молекулами ДНК. В отсутствие этого покрытия туннельный ток утечки из затвора слишком велик из-за того, что диэлектрик HfO2 имеет большое количество дефектов структуры. Эти дефекты создают состояния в запрещенной зоне, по которым и проходит туннелирование. С подобной ситуацией сталкиваются и в кремниевых полевых транзисторах, там эту проблему до сих пор разрешали формированием очень тонкого слоя окиси кремния, перед тем как осаждать high-k диэлектрик.
Рис.
1. Молекулы ДНК обволакивают нанотрубку (а). Разрез канала транзистора (b). Вид
транзистора сверху, полученный с помощью атомно-силового микроскопа (с).
Над порогом (в открытом состоянии транзистора – ON) тоже все складывается, казалось бы, замечательно. Для работы в логических схемах очень важен ток открытого состояния, отнесенный на единицу ширины канала. Если считать шириной канала толщину нанотрубки, то из приведенных ВАХ он составляет 1мА/мкм, что близко к типичному значению для кремниевых полевых транзисторов на подложке «кремний на изоляторе» (КНИ) с тонким слоем кремния и длиной канала меньше 0.1мкм. Но вот абсолютная величина тока канала 10-6А все-таки слишком мала для работы транзистора в скоростной логической схеме, ведь в процессе переключения логического элемента этот ток идет на зарядку внешней емкости, которая определяется размерами элементов, намного превосходящими толщину нанотрубки.
Воспользуемся представленной работой, чтобы сравнить транзистор на нанотрубке с его главным конкурентом – КНИ-транзистором с тонким (1-5нм) слоем кремния в качестве канала. Именно такие транзисторы считают ближайшим будущим кремниевой технологии и их уже изготавливают многие ведущие микроэлектронные фирмы, например, IBM и Intel. В КНИ-транзисторе за счет малой толщины кремния при использовании high-k диэлектрика тоже можно добиться предельной подпороговой крутизны. Что касается надпороговой характеристики, то она может быть гораздо лучше, чем в случае SWCN транзистора. Как сказано выше, в логических схемах важна абсолютная величина тока транзистора в открытом состоянии, поскольку этот ток идет на зарядку определенных емкостей (контактов истока и стока и межсоединения между ними) при переключении логических вентилей. Одна нанотрубка, естественно, переносит гораздо меньший ток, чем широкий канал в КНИ транзисторе.
Отметим, что для достаточно коротких каналов (меньше длины свободного пробега электрона) с баллистическим переносом величина подвижности в материале вообще не играет роли. Таким образом, для короткоканальных транзисторов огромная подвижность носителей в нанотрубке уже не имеет значения. Большим недостатком нанотрубок является также отсутствие омических контактов с электродами истока и стока, что значительно снижает ток транзистора в открытом состоянии.
Укажем и на технологические трудности, которые приводят к невоспроизводимости характеристик приборов на нанотрубках. Размещение нанотрубок в определенных местах все-таки является пока технологической проблемой. Кроме того, не следует забывать, что при хаотическом росте треть нанотрубок имеет металлическую, а не полупроводниковую проводимость, как этого требуется. Это означает, что часть формируемых транзисторов просто окажутся негодными.
Создается впечатление, что в существующей конструкции полевых транзисторов одиночные транзисторы на нанотрубках не могут составить конкуренцию транзисторам с тонким слоем кремния. Далее рассмотрим, так ли это для SWCN схем.
Логическая схема из одной нанотрубки
Специалисты IBM T.J.Watson Research Center изготовили логические схемы всего на одной одностенной углеродной нанотрубке в полупроводниковом состоянии [1] (рис. 1). Был изготовлен инвертор, который является главным элементом в современной архитектуре логических схем. Был также изготовлен кольцевой генератор, состоящий из 5 инверторов. Кольцевой генератор не используется в логике, но служит для измерения времени задержки сигнала в инверторе. Одна и та же длинная (18мкм) нанотрубка служит каналом во всех полевых транзисторах (FET) в схеме (рис. 1А).
Рис.
1. Снимок структуры, полученный с помощью сканирующего электронного микроскопа,
и схема циклического генератора (А); вольт-амперные характеристики (ток
транзистора от напряжения на затворе) для разных типов транзисторов и напряжений
между истоком и стоком (В); характеристики инвертора (С) и частотный отклик (D).
В состав одного инвертора входит пара транзисторов, один из которых обладает электронным типом проводимости канала (n-FET), а другой - дырочным типом проводимости канала (p-FET). Логические состояния инвертора 0 и 1 соответствуют тому, что один тип транзистора находится в открытом состоянии (ON), а другой в закрытом состоянии (OFF). В этом случае протекают только малые токи утечки. Сравнительно большой ток протекает в момент переключения, когда ток открытого транзистора переключает состояние закрытого транзистора из OFF в ON, а сам переходит в состояние OFF. В кремниевых транзисторах разного типа проводимости канала добиваются разным типом легирования. Для нанотрубок используется совершенно другой прием. Для разных типов транзисторов в качестве затвора применяют металлы с различной работой выхода: в данном приборе Pd для p-FET и Al для n-FET. В одном случае на контакте с нанотрубкой уровень Ферми в ней поднимается выше края зоны проводимости, и канал наполняется электронами, в другом случае уровень Ферми опускается ниже края валентной зоны, и канал наполняется дырками. Этот прием работает для реальных металлов только благодаря тому, что ширина запрещенной зоны в нанотрубках очень мала (несколько 0.1 эВ).
Измеренное быстродействие инвертора составляет всего 52МГц (рис. 1D). Это, конечно, прошлый век транзисторов. В этом веке уже изготавливаются кремниевые полевые нанотранзисторы с предельной частотой, превышающей 150ГГц. Большего от изготовленной микросхемы на нанотрубке ожидать и не следовало по причинам, указанным в предыдущей заметке.
Еще одно замечание, касающееся психологии рекламы. Почему-то на читателей производит большое впечатление то, что эта микросхема сделана всего на одной нанотрубке. В этой связи стоит напомнить, что сейчас выпускаются промышленным образом огромные микросхемы из миллионов элементов всего на одном слое кремния.
Кажется, что внедрение нанотрубок в существующие конструкции полевых транзисторов и архитектуру компьютеров не сулит пока что каких-либо радужных перспектив. Возможно, только новые принципы работы элементов (например, спиновые, интерференционные и туннельные элементы) и новая архитектура компьютеров позволят практически использовать уникальные свойства нанотрубок, которые, безусловно, являются одним из самых удивительных физических объектов, открытых в последнее время.
В.Вьюрков
Наномоторы для объектов микронных размеров
Подобно разнообразным механическим устройствам, приводимым в движение посредством моторов, для наномашин будущего потребуются соответствующие наномоторы. В работе голландских ученых [1] большое количество таких наномоторов использовали для вращения объектов микронных размеров – стеклянных палочек длиной 28мкм, плавающих в жидкокристаллической пленке. Роль наномоторов играли специально сконструированные органические молекулы, имеющие спиральную правовинтовую структуру (рис.1a). Как и в обычных моторах, в них имеется ротор и статор, а функцию оси вращения выполняет двойная связь C=C. Наномоторы размещали в жидкокристаллической пленке (их концентрация – 1 вес. %) и облучали ультрафиолетом - λ=365нм. Вследствие облучения спиральность молекулы изменялась с правосторонней на левостороннюю (фотохимическая изомеризация), и мотор приводился в действие. Эксперименты проводили при комнатной температуре.

Рис.1. a) структура молекулы-мотора; b) текстура поверхности жидкокристаллической пленки, содержащей большое количество таких молекул; c) вращение стеклянной палочки наномоторами (промежуток времени между снимками 15с, длина масштабной линейки 50мкм); d) рельеф поверхности пленки.
Холестерическая жидкость имеет полигональную текстуру (рис.1b), которая после облучении реорганизуется во вращательную (вихревую). Скорость вращения постепенно уменьшается и обращается в нуль спустя » 10 мин. После выключения источника света вращение вновь возобновляется, но на этот раз в другом направлении. Вращение текстуры жидкокристаллической пленки ведет к вращению расположенных на ее поверхности микроскопических объектов (рис.1c). Исследование рельефа поверхности методом бесконтактной силовой микроскопии показало, что высота “волн” достигает » 20нм (рис.1d). Таким образом, принцип работы молекулярных наномоторов продемонстрирован. Теперь задача состоит в том, чтобы заставить их вращать объекты не микронных, а нанометровых размеров, причем не коллективно, а индивидуально.
Л.Опенов
J.Vicario et al., Nature 2006, 440, 163

Рис.1. Эволюция формы и размеров адсорбированных молекул по данным атомной силовой микроскопии.

Рис.2. (из статьи [2]) Разрыв связи C-C за счет растяжения молекулы при адсорбции.
Ковалентные связи между атомами углерода очень прочные. Яркий тому пример – алмаз и углеродные нанотрубки. Для разрыва одной связи C-C требуется сила в несколько наноньютонов, что на молекулярном уровне – довольно большая величина. Тем удивительнее кажется сообщение [1] группы американских физиков о разрыве этих связей при обычной адсорбции углеродных соединений на поверхности твердого тела или жидкости. Авторы [1] изучали адсорбцию полимерных макромолекул на слюде и обнаружили, что адсорбированные молекулы со временем распадаются на мелкие кусочки, см. рис. 1. Причина этого состоит в том, что длинные “хвосты” молекул, притягиваясь к поверхности, создают сильное механическое напряжение, в результате которого в конечном итоге происходит разрыв ковалентных связей, см. рис.2.
Поскольку разрыв связи, по сути дела, представляет собой химическую реакцию, то возникает вопрос: каким образом чисто механический эффект может приводить к химическим последствиям? По-видимому [2], деформация молекулы понижает барьер реакции. Этот вопрос требует дальнейшего изучения. Как бы то ни было, полученные в [1] результаты говорят о принципиальной возможности механической активации медленных или даже запрещенных химических реакций. Вероятный распад молекул при адсорбции следует учитывать, дабы избежать нежелательных последствий этого явления, а с другой стороны – можно использовать для целенаправленного разрыва тех или иных межатомных связей. Кроме того, любая химическая реакция сопровождается тепловым эффектом. Этот вопрос не был изучен в [1], но почему бы не попытаться найти какое-то применение выделяемой энергии?
Л.Опенов
S.S.Sheiko et al., Nature 2006, 440, 191
S.Granick, S.C.Bae, Nature 2006, 440, 160
35 лет тому назад советский физик-ядерщик Виталий Ефимов предсказал неожиданный и на первый взгляд противоестественный эффект: в системе из трех идентичных бозонов связанное состояние при определенных условиях может возникать даже в том случае, когда все двухчастичные взаимодействия являются отталкивательными, причем таких состояний может быть не одно, а бесконечно много [1]. Все попытки теоретиков опровергнуть это утверждение не увенчались успехом, а экспериментальному подтверждению эффекта в атомном ядре (как предлагал сам Ефимов) препятствовало слишком сильное кулоновское взаимодействие.
|
|
|
|
Рис.1. Сценарий Ефимова |
Рис.2. Длина трехчастичной рекомбинации атомов Cs как функция длины рассеяния a. Сплошная кривая – теория. Прямые линии – нижняя (для a < 0) и верхняя (для a > 0) границы длины рекомбинации. |
И вот эффект Ефимова наконец-таки обнаружен на эксперименте в совместной работе сотрудников Univ. Innsbruck, Inst. Quantenoptik und Quanteninformation (Австрия) и Univ. Chicago (США) [2]. Но не в ядре, а в системе из трех атомов цезия в магнитной ловушке. Сила взаимодействия этих атомов характеризуется длиной рассеяния a. В двухчастичной системе связанные (молекулярные) состояния существуют при a > 0 и отсутствуют при a < 0. Именно при a < 0 ожидается появление состояний Ефимова (см. рис.1). Авторы [2] меняли величину a, используя магнитное поле. Хотя на эксперименте измеряли не сам энергетический спектр, а так называемую длину в трехчастичной рекомбинации, полученные результаты (а именно – наблюдение трехчастичного резонанса) однозначно свидетельствуют о существовании, по крайней мере, одного связанного состояния Ефимова при a = -850aB, где aB » 0.053нм – боровский радиус. Пусть эксперимент пока не во всем согласуется с теорией, но все же: подобно тому, как резонансы Фешбаха дали ключ к контролю квантово-механических взаимодействий на двухчастичном уровне, существование эффекта Ефимова в атомной физике открывает новые возможности в исследовании удивительного мира многочастичных квантовых явлений.

Рис. “Смайлики” из ДНК. Изображение получено с помощью атомной силовой микроскопии. Длина масштабной линейки 100нм.
Л.Опенов
1.
Nature 2006, 440, 2972. Nature 2006, 440, 283
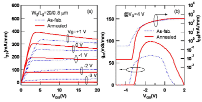
Улучшение характеристик GaN HEMT транзисторовМощные и высокочастотные транзисторы с высокой подвижностью электронов (HEMT) на основе гетероструктур AlGaN/GaN необходимы для коммерческих и военных целей, в частности, из-за их расширенного диапазона рабочих температур. Сотрудники Nanyang Techn. Univ. (Сингапур) и KTH Royal Inst. Techn. (Швеция) добились значительного улучшения микроволновых параметров HEMT оптимизацией технологического режима [1].
AlGaN/GaN HEMT структуры были выращены методом MOCVD на 5-ти сантиметровой сапфировой подложке. Структура состояла из следующих слоев (сверху вниз):
- нелегированный Al0.22Ga0.78N (21нм),
- нелегированный GaN (1.2мкм),
- легированный GaN:Fe (800нм),
- зародышевый слой GaN (100нм).
Транзисторы имели следующую геометрию: Lsd /Lsg /Lg=3.0/1.0/ 0.8 мкм (Lsd – длина канала исток-сток, Lsg – длина канала исток-затвор, Lg – длина затвора). Контакты Ti/Al/Ni/Au вжигали при резком увеличении температуры до 850°C в течение 30с. Отжиг проводили при 400°C (5 мин.), поскольку уже при 450°C наблюдается деградация диода Шоттки Ni/AlGaN.

Рис. 1. (а) Вольт-амперные и (b) передаточные характеристики транзисторов до и после отжига.
Из рис. 1 видно, что ток стока (ID max) увеличился на 17% (с 335 до 393мА/мм), а максимальная крутизна ВАХ (gm max) - на 34% (с 66мСм/мм до 100мСм/мм). Такое увеличение параметров стало возможным благодаря уменьшению паразитной емкости и улучшению параметров барьера Шоттки. Сопротивление контакта (Rc) и поверхностное сопротивление (Rsh) не изменились после отжига, однако, сопротивление стока (Rd) уменьшилось, вследствие уменьшения паразитных сопротивлений.
В работе наблюдали увеличение максимальной частоты усиления по току (fT) на 23% (с 10ГГц до 13ГГц), а максимальной частоты (fmax) на 25% (с 27.7ГГц до 37ГГц). Авторы наблюдали прямую зависимость между увеличением частоты и улучшением электрических характеристик транзисторов. (Максимальная частота генерации (fmax) — наибольшая частота автоколебаний в генераторе на транзисторе, максимальная частота усиления по току (fT) - частота, на которой коэффициент усиления по току в схеме с общим эмиттером равен единице).

Рис. 2. (а) напряжение пробоя и (b) ВАХ затвор-сток HEMT до и после отжига.
Напряжение пробоя транзисторов увеличилось с 41В до 97В (55%) (рис. 2), а токи утечки затвора и стока уменьшились более чем на 3 и 2 порядка, соответственно, по сравнению с неотожженными образцами.
С.Широков
Appl. Phys. Lett., 2006, 88, 023502
«Одновременно готовиться к большому прыжку и подтягивать арьергард для наведения моста» – таков суммарный результат бурной дискуссии за Круглым столом «Концепция и стратегия развития электроники России», организованном 7 февраля с.г. журналом «Электроника. Наука, технология, бизнес» (http://www.electronics.ru).
Аналогичный круглый стол под лозунгом «Судьба электроники в России» журнал «Электроника. НТБ» организовывал и 4 года назад (30 января 2002 г.) в надежде, что, возможно, электронику в России можно возрождать, предварительно усевшись за круглый стол и выработав концепцию. ПерсТ об этом писал в выпуске от 15.02.2002 г. (http://perst.isssph.kiae.ru/Inform/perst/2002/2_03/index.htm). Обсуждение, в котором в 2002 г. приняли участие многие компетентные специалисты, не подтвердило расхожее мнение, что эта судьба печальна. Хотя проблемы (и не простые), конечно, были. Но, что отрадно, виделись следы возрождения, и было предложено множество концепций полного возрождения, из которых оставалось выбрать оптимальную. Но, очевидно, выбор оптимальной – задача непростая, на этот выбор затрачены прошедшие 4 года. И вот собравшимся за новым Круглым столом предложена итоговая концепция, изложенная в докладе Юрия Ивановича Борисова (начальник управления радиоэлектронной промышленности и систем управления Роспрома) «Концепция и стратегия развития электроники России»
Основные тезисы доклада Ю.И.Борисова.
Россия стоит перед дилеммой – остаться сырьевой страной или перейти в компанию стран High Tech’а. От собственной электронной компонентной базы (ЭКБ) зависит оборона и безопасность страны. Мировая электроника – динамична, Россия же в этой области находится в затянувшейся стагнации. В области микроэлектроники Россия отставала всегда, но, если в период 70-80-х годов отставание составляло 5-10 лет, то с 2000 года эту цифру даже трудно оценить (скорее, не хочется оценивать, чтобы не страдало российское самолюбие). Наглядны цифры – за рубежом освоена серийная технология 0.12 и 0.18мкм и на подходе 0.065мкм, у нас твердо – 0.8мкм, и на двух отечественных предприятиях – 0.35-0.5мкм. В 90-х годах наша электронная промышленность на 100% обеспечивала потребности приборостроительной и оборонной техники, а в 2005 году – только 10% оборонки и 5% рынка массовой электроники. Причем 60-70% производимых в России электронных компонентов уходит за рубеж (это в основном низкотехнологичная продукция, которую развитым странам просто невыгодно производить у себя). Отечественный рынок ЭКБ исключительно велик, и зарубежные компании на нем активно (и агрессивно) представлены. Только Автоваз закупает за рубежом микросхем на 120 млн. долл.
Как найти свои ниши, а найдя их, наметить российские приоритеты, способные отвоевать большую часть отечественного и какую-то часть мирового рынка? Если быть реалистами, достаточно отвоевать 50% отечественного оборонного производства и 15% мирового массового рынка электроники. Часть отечественного производства можно отнести к регулируемому рынку, когда заказчиком выступает государство. Государство должно сформулировать заказ, выделить финансирование, а российские предприятия обеспечить его выполнение. Здесь можно наметить следующие возможные приоритеты:
- электронные документы (новый гражданский паспорт; военный билет, карты медицинского страхования);
- интеллектуальные карты (банковские, SIM-карты мобильной связи);
- спутниковые навигационные системы;
- цифровое телевидение (передающие и приемные системы - при переходе от аналогового к цифровому ТВ в России потребуется обновить 80 млн. телевизоров – этот рынок надо отстоять).
В настоящее время формируется Программа «Национальная технологическая база» на 2007-2011г.г., в которую должна войти подпрограмма по электронике. В ее планах
- модернизация существующих производств – «Ангстрем», «Микрон» (сначала ориентация на закупку импортного технологического оборудования, но в перспективе – организация собственного производства);
- обеспечение двух приоритетных направлений разработок - это СВЧ техника (предпочтение таким организациям, как «Исток» и «Пульсар» - у них сосредоточено 80% сегодняшнего СВЧ отечественного производства) и радиационностойкие электронные компоненты (обеспечение отечественного ракетно-ядерного комплекса). К слову, за рубежом нет массового производства радиационностойких электронных компонентов, и у России есть шансы выйти с ними на мировой рынок.
Может быть, одна из первостепенных задач в России – создание дизайн-центров по проектированию электронных компонентов, схем и систем. Здесь Россия уже сейчас имеет весьма успешный опыт проектирования схем по 0.12 мкм технологии, основанный на высокой квалификации наших специалистов в этой области. Необходимо от сегодняшних трех дизайн-центров перейти к 50-60 центрам, создав таким образом сеть центров. Важно параллельно отстоять и следующий этап в производстве ЭКБ, создав фабрику по производству шаблонов. Для продвижения этой концепции, безусловно, необходима государственная поддержка.
Свою позицию изложил В.М.Пролейко (представитель Федерального фонда развития электронной техники) «О реализации Основ политики РФ в области развития электронной компонентной базы на период до 2020 года и дальнейшую перспективу», которая тезисно сводится к следующему. В СССР ресурс военной электроники был вторым в мире и на 100% обеспечивал потребности российской оборонки, а сегодня, как следует из предыдущего доклада, только на 10%. При этом, с одной стороны, многие российские ученые, не имея возможности заработать в отечестве, перекочевали за рубеж, а, с другой стороны, зарубежные фирмы открыли свои лаборатории в России, привлекая в них российских ученых (только Intel имеет у нас 5 своих лабораторий, в которых трудятся российские специалисты). Зарубежные фирмы скупают российские патенты (в том числе, и патенты в области авиационно-космической техники). Остро необходимо еще сохранившийся кадровый ресурс задействовать для развития отечественных разработок и производств. В первую очередь необходимо:
- развить аналитическую деятельность (сеть аналитических консалтинговых центров);
- усилить лоббирование интересов электронных разработок и производства в госструктурах;
- поддержать уникальную школу фундаментальной нанонауки для опережающего прорыва в наноэлектронику (сильные школы нанонауки есть только у нас и США).
«По инициативе еще Минпромнауки была разработана и принята Правительством «Концепция развития работ в области нанотехнологий до 2010 г.» Роснауки в рамках ФЦНТП достаточно активно поддерживает нанотехнологические проекты. Из 6-ти предметных приоритетов ФЦНТП направление "Индустрия нанотехнологий и материалы" является самым приоритетным, если судить по количеству направляемых сюда средств - на его долю приходится почти треть (31,4%) всех средств ФЦНТП. Можно утверждать, что по отечественным меркам объем средств, выделяемых на работы в области нанотехнологий, достаточно существенный. Более того, если основываться на экспертных оценках объема средств, выделяемых из различных источников на исследования и разработки по нанотехнологиям, то оказывается, что этот объем примерно (по крайней мере, по порядку величины) соответствует тому, что расходуется на это направление в развитых странах» (цитата из доклада заместителя руководителя Роснауки А.В.Клименко - http://fasi.informika.ru/news/fasi/538/).
Однако, по мнению А.И. Сухопарова (председатель Федерального фонда развития электронной техники), высказанному еще в 2001г. в интервью ПерсТ’у, субмикронную (до 1000нм) и нанотехнологию (до 10нм) разделяет пропасть, и, чтобы приземлиться на наноберегу, необходимо сосредоточить усилия и предварительно проложить к этому берегу субмикронный мостик. Без поддержки арьергарда атака передового отряда может захлебнуться.
В дискуссии выступили представители Федеральной службы по оборонным заказам, Совета безопасности и Московского правительства, директора электронных институтов и производств, институтов РАН, ОАО «Росэлектроника», ЦНИИ Электроника. Общее мнение выступающих
-
электронную промышленность в России поднимать необходимо;- в связи с высокими рисками частные предприятия сами по себе этого сделать не могут;
- необходимо узаконить способы взаимодействия государства и бизнеса;
- государственную поддержку должны получить выделенные в Концепции приоритеты;
- правительство может содействовать развитию микроэлектроники не только субсидиями, но и введением различного рода налоговых послаблений для этой отрасли.
В процессе обсуждения было заявлено, что из достоверных источников известно о полном понимании членами Правительства назревшей ситуации и необходимости ее разрешения в рамках предложенной Концепции.
Докладчики и все участники дискуссии тепло поздравили журнал «Электроника. НТБ» с десятилетним юбилеем, выразив искреннее восхищение энтузиазмом и высоким профессионализмом коллектива, издающего журнал.
С.Корецкая
«Нано» очищенная продукция отозвана из-за угрозы здоровью?
В конце марта с.г. более 100 человек сообщили о появлении головных болей, бессонницы и проблем с дыханием после использования двух модификаций очищенного продукта, известного как Magic Nano. После изучения жалоб потребителей немецкий магазин уцененных товаров вывел Magic Nano из продажи. Шестеро пострадавших были госпитализированы. Причины заболевания исследуют, и пока не ясно, был ли действительно включен в продукт «нано» компонент, или эта приставка добавлена только в рекламных целях. Известно, что в США резко возросло число потребительских товаров, рекламируемых как нанотехнологические.
Nature 2006, 440, 858
Правительство Германии дает сигнал к старту шестимиллиардной (в Евро) программы усиления академических и промышленных исследований и разработок. Среди приоритетов правительственной стратегии в области высоких технологий – биологические науки, нанотехнологии, информационные и космические технологии. На высокую науку выделяется 3% валового внутреннего продукта (ВВП).
9 - 13 октября 2006 г. Звенигород Московской области. Международная конференция "Фундаментальные проблемы высокотемпературной сверхпроводимости" (ФПС'06). Официальный язык конференции - русский.
Основные научные направления:
1) Природа и механизмы высокотемпературной сверхпроводимости
2) Физические свойства ВТСП
3) Новые сверхпроводники и родственные материалы
4) Прикладная сверхпроводимость
Доклады будут опубликованы в сборнике трудов Конференции и распространены среди участников во время Конференции.
Предварительная регистрация и представление тезисов докладов (в электронном виде, через Интернет-сайт конференции) - до 10 июня 2006 г.
Оргвзнос - 1000 руб.
Контакты
Председатель Программного Комитета
Копаев Юрий Васильевич, тел. +7(495) 135-7441
Председатель Оргкомитета:
Пудалов Владимир Моисеевич, тел. +7(495) 135-4278
Зам. Председателя:
Мицен Кирилл Владимирович, тел. +7(495) 132-6302
Варлашкин Андрей Валериевич, тел.+7(495) 132-6769
Секретари Оргкомитета:
Иваненко Ольга Михайловна, тел. +7(495) 132-6302
Крайская Клавдия Васильевна, тел./факс +7(495) 135-2320
Электронная почта: org-fps06@sci.lebedev.ru
____________________________________________
Редактор С.Т. Корецкая
stk@issp.ras.ru
тел: (495) 930 33 89
В подготовке выпуска принимали участие: В.Вьюрков, Ю.Метлин, Л.Опенов, С.Широков