Принц-технология: 10 лет спустя
Не так уж часто такие журналы с высоким импакт-фактором, как Science, дословно цитируют высказывания российских учёных. Ещё реже их называют основоположниками каких-либо новых направлений в нанотехнологии. Недавно [1] такой чести удостоился д.ф.-м.н. Виктор Яковлевич Принц из ИФП СО РАН, принявший участие в ежегодном собрании Американского физического общества с приглашённым докладом (март 2006).
Сибирские «самокрутки» родились в 1995 году в общем-то достаточно случайно. В.Принц сотоварищи вздумали создать туннельно-тонкий промежуток в двухслойной напряжённой полупроводниковой структуре, сперва освободив её от подложки, а затем пропустив по ней трещину. Встроенные механические напряжения должны были слегка изогнуть края трещины и развести их на маленькое расстояние, в принципе вплоть до нескольких ангстрем. Подбирая толщины и рассогласование параметров решётки в двухслойной псевдоморфной гетероструктуре, можно было бы прецизионно контролировать туннельный зазор. Идея исключительно простая и здравая, но исполнение подвело. Канал, вытравленный под бислойной InGaAs/GaAs структурой, оказался слишком широким и вместо того, чтобы слегка разойтись, берега трещины свернулись в трубочки. Пусть пока и микронных диаметров. Чудо свершилось, потому что исконно плоская (планарная) микроэлектроника выпрыгнула в третье измерение. И выпрыгнула упруго-нестандартным способом. Принц-технология сделала первый вздох. Естественно возник вопрос: «А где предел? Можно ли скрутить плёнки толщиной в несколько атомов?» Большие учёные сказали Принцу, что прыгать в ширину бессмысленно - отделить от подложки пленки ангстремных толщин невозможно, к тому же они окислятся. Принц не поддался на запугивание и через пару-тройку лет наделал трубок и спиралей с диаметром от микро- до нанометров из плёнок толщиной от сотен до нескольких ангстрем [2]. На одной из международных конференций по физике полупроводников тогда ещё не нобелевский Герберт Крёмер был просто очарован сибирскими нанозавитками и предсказал им большое будущее. И он не ошибся, так как в настоящее время более десятка групп во всём мире двигают технологию Принца по самым разным направлениям.
И дело здесь в том, что эта технология позволяет изготовлять бесконечное число самых различных высокоточных трехмерных наноструктур, и каждая группа выбирает себе для исследований или практических применений ту или иную полюбившуюся структуру. Например, из трубок изготовлены наношприцы, нанопринтеры, нанореакторы, оптические резонаторы, сенсоры и электромеханические устройства (см., например, обзор [3]).
Проф. Д.Грютцмахеру из Института им. Пауля Шеррера в Швей царии понравились спиральки. Швейцарцы давно научились делать хорошие, точные и надёжные пружинки, потому и часы у них – лучшие в мире. Вот и последние публикации группы Д.Грютцмахера посвящены пружинкам [4,5]. Для изготовления микропружинок по Принц-технологии используется анизотропия упругих свойств полупроводников со структурой алмаза или цинковой обманки. Напряженные плёнки, выращенные на подложке с ориентацией (100), сворачиваются в направлении <100>, для которого модуль Юнга минимален. Поэтому, если продолговатая меза-заготовка для скрутки сориентирована вдоль <100>, то получится трубка-свиток. Если же отклониться от этого направления на определённый угол (q), то получится спираль – пружинка, шаг которой (p) определяется углом q : p=pdtgq (см. рис.1). Схема процесса изготовления пружины и результат приведены на рис. 2.и 3.
|
|
|
|
Рис.1. Скручивание напряжённого бислоя в микропружинку.
|
Рис.2. Базовая схема Принц-технологии.
|

Рис.3. Микроспирали, полученные из меза-полосок с различной ориентацией.
Понятно, что сделать пружинку – это только полдела. Надо ещё выяснить как она «пружинит», т.е. потянуть её вдоль оси с заданной силой и определить удлинение. Всё бы ничего, да диаметр объекта раз в двадцать-тридцать тоньше, чем у человеческого волоса, а длина тоже измеряется микрометрами. И тем не менее, швейцарские умельцы всё это проделали, разместив свои микроманипуляторы-кантилеверы прямо в сканирующем электронном микроскопе [4].
Кроме полупроводников, как известно, есть ещё металлы и диэлектрики. Выяснилось, что Принц-технология годится и для них: в 2003 году были скручены бислои кремний-хром и кремний-нитрид кремния [6], а в 2004 году изготовлены золото-титановые микро- и нанотрубки [7].
Приготавливая
нанопружинки из структур
Si0.6Ge0.4(11нм)/Si(8нм)/Cr(10нм),
авторы [5] обнаружили, что в зависимости от ширины (h)
сворачивающейся полоски, спираль может быть правой (h
> 1.2мкм), левой (h
< 0.9мкм) и всякоразной
(h
≈ 1мкм). Оказалось, что здесь начинает сказываться релаксация упругих
напряжений не только вдоль полоски, но и в поперечном направлении. А в
результате ассортимент услуг
a lá
Prinz
существенно расширился – последний шедевр показан на рис.4.

Как это часто бывает, новые объекты способствуют открытию новых физических эффектов и явлений. Например, обнаружено, что сопротивление изогнутой наноплёнки изменяется более чем в 1000 раз при изменении полярности магнитного поля (1T) пронизывающего пленку [8], а гигантская деформация изгиба в наногофрированных плёнках приводит к формированию квантовых точек и проволок [9] и строго периодичных систем, а в кольцах наблюдается оптический резонанс [10].
С.Чикичев
Science 2006, 313, 164
Physica E 2000, 6, 828
Physica E 2004, 10, 54
Nano Letters 2006, 6, 725
Nano Letters 2006, 6, 1311
Appl. Phys. Lett. 2004, 84, 3391
Nanotechnology, 2005, 16, 908
Proc. Nanostructures: Physics and technology 2006, p .355
Phys. Rev. B 2005, 72, 033313
Phys. Rev. Lett. 2006, 96, 077403
Новые композитные материалы на основе графена
Графен – это двумерный атомный слой, в котором атомы углерода расположены в вершинах правильных шестиугольников (рис.1). При сворачивании графена в цилиндр получается одностенная нанотрубка, а совокупность большого количества таких параллельных друг другу слоев представляет собой графит. Графен характеризуется большой механической жесткостью, высокими значениями теплопроводности и электрической проводимости, что делает его перспективным материалом для использования в самых различных приложениях – от наноэлектроники до покрытия фюзеляжей авиалайнеров. Но процедура отделения графеновых слоев от графита крайне сложна, поэтому один из путей практического использования их уникальных свойств состоит в том, чтобы попытаться изготовить композиты на их основе.
|
|
|
|
Рис.1. (из статьи [2]) Графитовый слой (графен) |
Рис.2 (из статьи
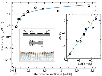
[1]). Проводимость композита полистирол/графен как функция объемной доли φ
графена в композите. |
В совместной работе сотрудников Northwestern Univ. и Purdue Univ. (США) [1] предложен общий подход к синтезу композитов полимер/графен. Он основан на химическом окислении графита, его обработке ультразвуком (при которой происходит расщепление на отдельные окисленные графеновые слои), растворении совместно с полимером в растворителе и последующем восстановлении с целью удаления кислородных групп. В результате образуется твердый композит, характеристики которого почти такие же, как у композитов на основе углеродных нанотрубок, а себестоимость – гораздо ниже (цена графита – несколько долларов за килограмм). Порог перколяции составляет всего ~ 0.1 об. %, а при концентрации графена φ ~ 1 об. % проводимость достигает ~ 0.1С/м (что уже достаточно для многих приложений) и быстро увеличивается с ростом φ (см. рис.2). Конечно, о замене кремниевых чипов на графеновые говорить пока рано, но уже сейчас обсуждается вопрос о применении графеновых композитов в солнечных батареях, в компонентах компьютеров (для диссипации избыточного тепла) [2,3] – словом, везде, где проводимость углеродных волокон недостаточно высока, а углеродные нанотрубки слишком дороги.
Л.Опенов
Nature 2006, 442, 282
Nature 2006, 442, 228
Nature 2006, 442, 254
Трудности становления УНТовой наноэлектроники
Середина текущего года ознаменовалась появлением ещё одного журнала на тему «нано» (pазмеры всё меньше - журналов всё больше). На сей раз отличилось сингапурское издательство World Scientific. Журнал так и называется: “NANO: Brief Reports and Reviews”. Первый выпуск первого тома, как водится, доступен всем бесплатно по адресу: http://www.worldscinet.com/nano/nano.shtml. За второй том (6 выпусков) придётся уже заплатить 439 долл. или 380 евро. Главный редактор журнала – известный «открыватель» углеродных нанотрубок Sumio Iijima.
Открывается первый выпуск обзором про полевые транзисторы (ПТ) на однослойных углеродных нанотрубках (УНТ) группы авторов из Стэнфордского университета [1]. Первый ПТ на УНТ, работающий при комнатной температуре, был изготовлен в 1998 году [2] и обладал существенным недостатком: сток-истоковые контакты (из Pt) были отнюдь не омическими. Это сильно ограничивало ток через ПТ в состоянии «вкл» со всеми вытекающими нехорошими последствиями (при низких температурах ток вообще «занулялся»). Использование Pd и Rh в качестве электродов позволило решить эту проблему, но только для УНТ с диаметром d>2нм. При d<2нм ток через УНТ (при фиксированном напряжении) начинает быстро падать, причём как для полупроводниковых, так и для металлических нанотрубок (см. рис. 1). Почему взаимодействие атомов палладия и родия с атомами углерода в трубке зависит от её радиуса – это вопрос, который пока не имеет ответа.

Рис.1. Зависимость электрических свойств полупроводниковых и металлических УНТ от диаметра. Ion - ток через трубку при смещении 1В при комнатной температуре. Контакты из палладия или родия.
Для исследования транзисторных характеристик УНТ в качестве затвора используют окисленную пластину кремния, на которой трубка и лежит. Но чтобы лабораторная игрушка превратилась в прибор, трубку необходимо покрыть диэлектриком и приделать индивидуальный затвор сверху. Авторы [1] исследовали процесс нанесения ZrO2 и HfO2 на УНТ методом атомного наслаивания. Оказалось, что на чистую нанотрубку диэлектрик не желает высаживаться ни в какую, за исключением дефектных участков. Поэтому трубку приходится замуровывать в high-k диэлектрик, толщина которого составляет до 8нм, а крутизна ВАХ 70-90мВ/декаду. Причина невозможности осадить диэлектрик на чистую УНТ состоит в том, что при атомном наслаивании реагенты «зацепляются» за определённые функциональные группы (например, ОН) на поверхности подложки, что и обеспечивает протекание нужной химической реакции синтеза. На бездефектной нанотрубке такие зацепки отсутствуют, и синтез не идёт. Поэтому необходимо каким-либо образом создать эти функциональные группы на поверхности УНТ. Именно это сделали в Стэнфорде. И помогла учёным, как ни странно, дезоксирибонуклеиновая кислота (ДНК) марки dT40 [3]. Процедура функционализации УНТ оказалась совсем несложной, а простота – залог технологичности! После формирования сток-истоковых электродов пластину с будущим ПТ «окунали» в микромолярный водный раствор ДНК на полчаса при комнатной температуре, затем промывали в УЗ ванне 2 минуты и высушивали в азоте. На ДНК-функционализированной УНТ тонкий (2-3нм) слой HfO2 вырастает без всяких проблем и обладает пренебрежимо малыми токами утечки. Теперь на каждые 60мВ затворного напряжения ток в трубке увеличивается на порядок (рис. 2). Для использованной авторами геометрии этот параметр близок к теоретическому пределу.


Рис. 2. ВАХ УНТ ПТ
Таким образом, казалось бы, замечательные ПТ на УНТ почти готовы к практическому использованию фирмой Intel или AMD. Остался сущий «пустяк»: уложить рядышком тысячу-другую полупроводниковых УНТ (ибо ток в канале должен исчисляться миллиамперами для быстрых переключений) – и всё! Заключая свой обзор, авторы [1] прямо указывают, что этот «пустяк» и есть основная проблема УНТовой наноэлектроники.
С.Чикичев
NANO: Brief Reports and Reviews, 2006, 1, p.1
Nature 1998, 393, 49
J.Am.Chem.Soc.2006, 128, 3518
Американские ученые сообщают о разработке простого и эффективного CVD процесса получения длинных одностенных нанотрубок (ОСНТ) высокой чистоты [1]. В качестве источника углерода используют этанол, содержащий следы (0.2-5 масс.%) воды. Возможно, именно сочетание этанола и воды позволяет получать более чистый продукт. Катализатором являются сверхтонкие пленки кобальта (0.5-2нм), полученные методом электронно-лучевого испарения. Их легко получить также с помощью магнетронного распыления; оба метода совместимы с процессами производства полупроводников.
Подложку с нанесенным на один край (~ 0.5мм) катализатором помещали в центр кварцевого реактора, размещенного в печи, и предварительно прогревали в потоке Ar/H2 при температуре до 850оС. При этом из тонкой пленки формировались отдельные наночастицы катализатора. Затем подавали пары этанола с примесью воды с помощью барботирования газовой смеси Ar/H2 в резервуар с этанолом (0оС). Процесс синтеза нанотрубок проводили при 850оС.
Этот простой способ позволил получить длинные ориентированные ОСНТ высокого качества на плоских подложках из SiO2/Si, Si, Si3N4, Al2O3; в том числе отдельные ОСНТ, пересекающие щели в подложках шириной до сотен микрон, и даже растущие поверх вертикальных барьеров высотой до десятков микрон.

Рис.1. Возможные схемы роста ОСНТ. Катализатор нанесен на правый край пластинки. а) сначала нано-трубка растет вверх, затем “подхватывается” стабильным ламинарным потоком, и растет вдоль подложки; b) при небольшом подъеме края с катализатором вырастают более длинные нанотрубки.

Рис. 2. Рост нанотрубок через щель в подложке и вертикаль-ные препятствия. В качестве источника углерода использо-ван этанол с 2 масс. % воды. Масштабная линейка – 1мм.
Возможная схема роста нанотрубок показана на рис. 1. Результаты, полученные авторами, показывают, что при небольшом наклоне пластинки количество более длинных нанотрубок (до 2см) может вырасти в несколько раз. На 4-см подложке из SiO2/Si за два часа были выращены ориентированные ОСНТ длиной 4 см! Видимо, можно получить чрезвычайно длинные ОСНТ, их длина ограничена только размерами подложки.
На рис. 2 показано, как происходит рост нанотрубок через щель в подложке и вертикальные препятствия. На пластинке со щелью шириной 100мкм был специально сделан барьер высотой 20мкм. Затем на край пластинки, примерно на расстоянии 2мм от щели, была нанесена тонкая пленка катализатора. На рис.2а,b,c видно, как углеродные нанотрубки растут от одного конца до другого и «карабкаются» на препятствие. На рис.2d показана схема роста.
В качестве катализаторов также могут быть использованы нанокристаллы Fe, FeMo. Разработанный CVD процесс в основном позволяет получать одностенные нанотрубки. Такой контролируемый рост ОСНТ высокого качества очень важен для фундаментальных исследований на отдельных нанотрубках, и, конечно, поможет разработке новых приборов.
О.Алексеева
J.Phys.Chem. B 2006, 110, 11103

Рис. 1.
Энергетические диаграммы, иллюстрирующие перенос куперовских пар через квантовую
точку благодаря процессам совместного туннелирования четвертого порядка:
(a)
один уровень, p-контакт;
(b)
один уровень, нормальный контакт;
(c)
несколько уровней, p-контакт.
Если два сверхпроводника разделены слабой связью (туннельным барьером), то между ними может протекать сверхток Is=Ic×sin(Δj), где Ic – критический ток контакта, Δj – разность фаз между этими сверхпроводниками. Известно, что сверхток переносят куперовские пары с зарядом 2e. А что будет, если в качестве слабой связи использовать полупроводниковую квантовую точку, в которой из-за эффекта кулоновской блокады два электрона не могут находиться одновременно? В работе [1] исследованы характеристики СКВИДа на основе Al с туннельным барьером из квантовой точки InAs. Показано, что сверхток через такой барьер все же течет, если последовательные акты туннелирования сначала одного, а потом другого электрона происходят когерентным образом. При этом добавление в квантовую точку одного электронного спина ведет к изменению направления туннельного тока и джозефсоновское соотношение принимает вид Is=-Ic×sin(Δj), что связано с дополнительным сдвигом фазы на p. Если же в токопереносе участвуют возбужденные состояния квантовой точки, то знак Is определяется видом их орбитальных волновых функций.
Nature 2006, 442, 667
Электрон-решеточные взаимодействия и сверхпроводимость Bi2Sr2CaCu2O8+d
Похоже,
что окончательная точка в затянувшемся споре сторонников и противников фононного
механизма сверхпроводимости ВТСП будет поставлена еще не скоро. Каждый новый
эксперимент склоняет чашу весов то в одну, то в другую сторону. После публикации
статьи [1] группы из различных университетов США и Японии эта чаша в очередной
раз качнулась в сторону фононов [2,3]. Авторы
[1] использовали метод сканирующей туннельной спектроскопии для локальных
изменений dI/dV
и d2I/dV2 в
различных точках поверхности монокристаллов ВТСП Bi2Sr2CaCu2O8+d
в сверхвысоком вакууме при Л. Опенов
Nature 2006, 442, 546
Nature 2006, 442, 523
Science 2006, 313, 602
Что «сверхтечет» в твердом гелии?
Первое сообщение об экспериментальной регистрации сверхтекучести твердого гелия (ТГ) появилось в 2004 году [1]. Мнения ученых о природе этого явления разделились. Одни полагают, что атомы в ТГ, как и в жидком гелии, образуют бозе-конденсат и описываются единой волновой функцией. Другие считают это невозможным. Скептицизма добавили сообщения об исчезновении сверхтекучести ТГ после отжига при T ≈ 1.4К в течение 10 час., что говорит о возможной причастности к этому явлению каких-то структурных дефектов.

Рис.1 (из статьи [2]). Схема эксперимента.
В работе [2] французские физики и их коллеги предприняли попытку прояснить ситуацию. Эксперимент ставился следующим образом. В контейнер с жидким гелием помещали перевернутую вверх дном трубку (см. рисунок), после чего повышали давление до 28 атмосфер. Более плотный ТГ опускался на дно контейнера и “прорастал” в трубку. Затем часть окружающего трубку ТГ быстро плавили. Что можно при этом ожидать, если ТГ способен “течь сквозь себя”? По принципу сообщающихся сосудов уровень ТГ внутри трубки должен понизиться и сравняться с уровнем ТГ вне трубки. И это действительно имело место, причем уровень ТГ внутри трубки опускался с постоянной скоростью, без ускорения, как и положено сверхтекучей системе, движущейся без сопротивления. Но так было не всегда, а лишь в 2 случаях из 12. В других 10 экспериментах уровень ТГ внутри трубки остался неизменным. Детальный анализ микроструктуры образцов показал, что сверхтекучими были лишь те из них, которые состояли из отдельных зерен. Монокристаллы ТГ не «сверхтекли». Логично предположить, что сверхтекучесть немоно-кристаллических образцов ТГ обусловлена сверхтекучестью не твердого, а жидкого гелия, остающегося в небольшом количестве на границах зерен после сжатия.
Казалось бы, открытый два года назад эффект [1] получил достаточно тривиальное, а вовсе не экзотическое объяснение. Но надо иметь в виду различие образцов, исследовавшихся в [1] и [2]. В [1] была обнаружена сверхтекучесть ТГ, заполняющего узкие поры в пористом стекле. Трудно представить себе границы зерен, пронизывающие все поры насквозь. По мнению нобелевского лауреата А.Леггетта, не исключено, что в [1] и [2] наблюдали на самом деле два различных явления, каждое из которых само по себе интересно и достойно дальнейшего изучения.
Nature 2004, 427, 225
Science 2006, 313, 1098
Самозванцы среди магнитных полупроводников
На магнитные полупроводники возлагают большие надежды в области спинтроники. Однако K. Ando (Nanoelectronics Res. Inst., Tsukuba, Япония) задает вопрос: «Являются ли материалы, называемые в настоящее время «магнитными полупроводниками» на самом деле таковыми?». Вопрос выглядит странным, но автор поясняют причину его постановки. Дело в том, что известные магнитные полупроводники оказались очень слабыми магнетиками. Изначально их получали внедрением атомов марганца (Mn) в полупроводники InAs и GaAs, но температура Кюри оказалась слишком низкой для практических применений. Внедрение 10% марганца в широкозонный полупроводник GaN позволил поднять эту температуру почти до 1000К. Магнитные свойства магнитных атомов обусловлены d -орбиталями, в то же время полупроводники образуются из атомов с внешними s - или p- орбиталями. Вследствие этого помещение магнитных атомов в кристаллическую решетку полупроводника резко ухудшает их магнитные характеристики. В результате намагниченность магнитного полупроводника можно ощущать только с помощью SQUID-магнетометров. Действительно, эти магнетометры обладают настолько высокой чувствительностью, что могут регистрировать, например, намагниченность всего 1/2000 части атомов железа от общего количества в типичном объеме измерения. Таким образом, авторы заметки подводят к мысли, что измеряемая намагниченность т.н. «магнитных полупроводников» может быть обусловлена всего лишь случайными магнитными атомами на их поверхности. Эта идея объясняет и недавно обнаруженный ферромагнетизм у чистого HfO2, в химическом составе которого вовсе нет магнитных атомов. Возможно, этот ферромагнетизм возникает просто от контакта образца со стальным пинцетом.
Автор предлагает в качестве лакмусовой бумажки для определения, является ли магнитный полупроводник таковым или нет, использовать эффект магнитного циркулярного дихроизма, который неизбежно должен присутствовать у истинно магнитных полупроводников. Эффект заключается в том, что свет с разной циркулярной поляризацией поглощается по-разному. В немагнитном полупроводнике зонная структура не зависит от ориентации спина электрона (рис. 1, слева), в магнитном полупроводнике – зависит (рис. 1, справа). Ширина запрещенной зоны оказывается неодинаковой для электронов с различной ориентацией спинов. Это аналогично эффекту Зеемана для электронов в магнитном поле, поскольку в ферромагнетике энергетически выгоднее иметь ту же ориентацию спина, что и у всей «толпы». Поглощение циркулярно поляризованного фотона со спином 1 приводит к рождению электрона и дырки, у которых спин 1/2 направлен в ту же сторону. В результате, в магнитном полупроводнике фотоны со спином вдоль направления намагниченности и против направления намагниченности поглощаются не одинаково.

Рис. 1. В немагнитном полупроводнике зонная структура не зависит от ориентации спина, в магнитном – зависит.
В статье приводится список материалов, которые успешно прошли предложенный тест - (In,Mn)As; (Ga,Mn)As;(Zn,Cr)Te, а также список самозванцев - GaN:Mn; GaAs:Cr; ZnO:Ni.
В.Вьюрков
Science 2006, 312, 1883
Материальную основу современной информационной технологии составляют полупроводники и ферромагнетики. В вычислительных системах они выполняют различные функции: полупроводниковые микропроцессоры используются для обработки информации, а ферромагнитные устройства предназначены для хранения информации и обеспечения доступа к ней. Альтернативой является интеграция этих функций в ферромагнитных полупроводниках, из которых, как предполагается, будут изготавливаться базовые элементы спинтроники. Один из перспективных кандидатов – арсенид галлия, легированный марганцем. Проблема здесь состоит в сильной дефектности образцов: длина свободного пробега носителей обычно не превышает 10Ǻ. Кроме того, не вполне ясна физическая картина формирования ферромагнитного состояния в Ga1-xMnxAs. Принято считать, что локальные магнитные моменты атомов Mn ориентируют спины подвижных дырок (которые образуются при замещении Ga/Mn), и наоборот. Но непонятно, в каких энергетических зонах находятся дырки, способствующие ферромагнетизму.
Американские физики из университетов Принстона, Иллинойса и Айовы использовали сканирующий туннельный микроскоп (СТМ) для размещения атомов Mn в узлы решетки на поверхности кристаллов GaAs [1]. Это достигали за счет подачи импульса напряжения на иглу СТМ, расположенную вблизи адсорбированного на поверхности (и слабо связанного с ней) атома Mn. В результате атом Mn “выбивал” атом Ga из поверхностного слоя и занимал его место (см. рисунок).

Рис.1 (из статьи [2]). Внедрение атомов Mn в
Силу ферромагнитного взаимодействия между спинами двух атомов Mn определяли по величине разности энергий связывающего и антисвязывающего электронных состояний такой пары. Авторы [1] обнаружили, что ферромагнитное упорядочение имеет место и в отсутствие дырок. Это, возможно, потребует пересмотра современных представлений о магнетизме легированных полупроводников. Было также установлено, что ферромагнитное взаимодействие зависит от ориентации пары Mn-Mn относительно кристаллографических осей GaAs. Можно попытаться использовать эту анизотропию для выращивания структур Ga1-xMnxAs с более высокой температурой Кюри, нежели у образцов с хаотически распределенными по объему примесями Mn.
Л.Опенов
Nature 2006, 442, 436
Nature 2006, 442, 359
Спиновые взаимодействия в рукотворных атомных структурах
Планируемое использование магнитных наноструктур в спинтронике и для обработки квантовой информации предполагает знание силы взаимодействия между атомными спинами и возможность ее контроля. В работе [1] группы из IBM сканирующий туннельный микроскоп (СТМ) использован как для “ручной сборки” наноструктур и получения их изображения, так и для измерения спектров спиновых возбуждений на атомном масштабе, что позволило определить спиновые конфигурации и энергии спин-спиновых взаимодействий в цепочках атомов различной длины.

Рис.1. (A) СТМ-изображение (10мВ, 1нА) островка CuN на Cu(100); (B) СТМ-изображения (10мВ, 0.1нА) цепочек из 2 ¸ 9 атомов Mn на CuN. Отдельные атомы в цепочке не различимы (в левом нижнем углу каждого снимка – один “лишний” атом Mn); (C) Увеличенное СТМ-изображение 10-атомной цепочки; (D) Схематическое изображение антиферромагнитных взаимодействий спинов в 3-атомной цепочки, описываемой моделью Гейзенберга.
Цепочки из 2 ¸ 10 атомов Mn были сформированы на диэлектрическом островке CuN/Cu(100) путем соответствующих манипуляций иглой СТМ (рис. 1A,B). Каждый атом Mn располагали над атомом Cu. Расстояние между соседними атомами Mn составило 0.36нм. Затем при T = 0.6К были измерены спектры неупругого туннелирования электронов из цепочек. Анализ энергетических спектров в рамках модели Гейзенберга с обменным взаимодействием только между ближайшими соседями позволил определить спин S = 5/2 атомов Mn и энергию взаимодействия J » 6мэВ. Для демонстрации возможности регулировки спин-спиновых взаимодействий были также изготовлены и исследованы цепочки, в которых атомы Mn располагались над атомами N. Расстояния между соседними атомами Mn при этом не изменились, а энергия обменного взаимодействия уменьшилась до J » 3мэВ. Существенно, что полученные при T = 0.6К результаты были воспроизведены и при T = 5.5К. Это говорит о том, что для “спиновой спектроскопии” субкельвинные температуры вовсе не обязательны. Помимо применения в различных наноустройствах, искусственные спиновые цепочки могут служить модельной системой для изучения свойств низкоразмерных магнитных систем.
Science 2006, 312, 1021
Лазеры широко используются для захвата и охлаждения нейтральных атомов, а также для различных манипуляций с ними. Немецкие физики из Университета Бонна разработали новую методику, позволяющую формировать одномерные цепочки атомов с наперед заданными межатомными расстояниями [1]. На первом этапе атомы Cs в магнитооптической ловушке охлаждали до T ~ 1мК, а затем помещали в горизонтальную дипольную ловушку (horizontal dipole trap, HDT), образованную двумя противоположно направленными лазерными лучами. При этом атомы располагались в пучностях стоячей волны, отстоящих друг от друга на » 0.5мкм, и были распределены между ними случайным образом (рис. 1b). Положение каждого атома в цепочке определяли по его флюоресценции. Изменение разности фаз между лазерными лучами позволяло сдвигать HDT, а вместе с ней – и всю цепочку атомов как целое – вдоль своей оси (оси x), оставляя все межатомные расстояния неизменными. Для перемещения отдельных атомов вдоль цепочки использовали вторую, вертикальную дипольную ловушку (vertical dipole trap, VDT), перпендикулярную HDT и направленную вдоль оси y. Поскольку в обеих дипольных ловушках силы, препятствующие смещению атомов вдоль оси ловушки, гораздо больше радиальных сил, то атом, находящийся в области пересечения двух ловушек, при сдвиге одной из ловушек вдоль ее оси, сдвигается вместе с этой ловушкой. Это позволяет извлечь атом из HDT путем сдвига VDT по оси y (шаг 1 на рис. 1a), затем сдвинуть цепочку атомов вместе с HDT по оси x (шаг 2 на рис. 1a) и, наконец, вернуть извлеченный атом в HDT, изменив таким образом его положение относительно других атомов цепочки (шаг 3 на рис. 1a). Вся эта операция занимает около 400мс. Выполняя ее последовательно с разными атомами, авторы упомянутой статьи добились того, чтобы расстояния dt » 15мкм между всеми соседними атомами в цепочке стали одинаковыми (см. рис. 1c). Отметим, что, если исходное расстояние d от перемещаемого атома до его ближайшего соседа меньше радиуса дипольной ловушки (10 мкм), то сдвиг этого атома приводит к неконтролируемому воздействию на другие атомы цепочки, и поэтому вероятность удачной перестановки мала. Если же d > 10мкм, то dt = (15.27 ± 0.78)мкм (рис. 1d).

Рис. 1. (a) Две пересекающиеся дипольные ловушки и последовательность операций при изменении расположения одного атома в горизонтальной ловушке; (b) и (c) Исходная и конечная атомные конфигурации; длина масштабной линейки 15мкм; (d) Соотношение между расстоя-ниями от перемещаемого атома до его ближайшего соседа после операции перестановки и до нее.
Так как атомы в ловушке хорошо изолированы от воздействия окружающей среды, то они характеризуются большими временами декогеренции. Поэтому эквидистантные атомные цепочки предполагается использовать в качестве квантовых регистров для хранения и обработки квантовой информации.
Nature 2006, 442, 151
Состоится ли второе рождение полиацетилена?
В августе-сентябре этого года полиацетилен вторично оказался в фокусе внимания СМИ, в том числе отечественных. В первый раз полиацетилен оказался в центре внимания в 1977-1978 гг., когда именно у этого материала - впервые для полимеров - была обнаружена электропроводность. В полиацетилене, с его относительно простой структурой, чередование одинарных и двойных связей в полимерной цепи, подобно наполовину заполненной зоне, обусловило возможность переноса электрических зарядов. Правда, как оказалось, величина проводимости в полиацетилене, да и в других электропроводящих полимерах невелика, не более 10С/cм, так что после этого открытия провода из пластмассы делать не стали. Зато, вдвойне неожиданно, возникло и существует производство полимерных светодиодов. Группа же ученых – первооткрывателей явления - А.Хигер, А.Макдиармид и Х. Ширакава - была удостоена Нобелевской премии по химии за 2000 год. Направление интенсивно развивалось, электропроводящих полимеров «насинтезировали» с тех пор много. Сам полиацетилен на фоне прочих материалов этой группы оказался достаточно капризным и нестабильным материалом, поэтому реальных применений ему не нашли, и он оставался старейшиной семейства, уважаемым аксакалом, удобным объектом модельных расчетов.
И вот теперь полиацетилен опять имеет шанс прославиться. Но на этот раз совсем по другому поводу. Как оказалось, именно он, полиацетилен, может дать импульс уже раскрученной, но все еще в достаточной степени эфемерной, водородной энергетике. Какая там реальная энергетика, если вместе с даже очень миниатюрным устройством нужно носить баллон (ну – баллончик) атмосфер на триста, или и вовсе дьюар сжиженного водорода. Правда, обходной путь тоже известен: нужен эффективный поглотитель – адсорбер, но достаточно эффективного пока нет и неизвестно, где взять. Даже американское министерство энергетики (DoE) запланировало, что достичь рентабельного для энергетики уровня плотности водорода в накопителе – 45кг/м3 удастся только к 2010 году!
Запланированный, но не достигнутый рубеж 45кг/м3 оказался возмутителем спокойствия, своеобразной красной тряпкой. Те, кого эта проблема касалась, стали пробовать для накопления водорода все, что только было можно – металлы, углеродные нанотрубки, многокомпонентные бориды. А то, на чем попробовать было никак не возможно, обсчитывали теоретически на компьютере. ПерсТ сообщал о некоторых из этих работ, в частности, об обнаруженной теоретически конденсации водорода на пучке углеродных нанотрубок [1]. Пока, правда, экспериментаторы не подтвердили этих расчетных предсказаний. Тут может быть дело в другом – компьютеров и считающих на них ученых стало много, а экспериментаторов мало – ну и просто у последних пока не дошли руки до проверки именно этого предсказания.
Тем не менее, появляются новые расчетные работы с еще более заманчивыми цифрами. Группа исследователей из Сеульского университета добросовестно прошлась по всем перспективным кандидатам на материал - накопитель водорода. Из общих соображений и на базе уже выполненных расчетов ученые остановились на органометаллических соединенях с линейными полимерными цепями, на которые были привиты Ti, Sc или V. Были обсчитаны различные комбинации цепей и металлических атомов. Оказалось, что наивысшей емкостью по обратимой адсорбции водорода обладает именно полиацетилен (sic-форма) с атомами титана, присоединенными к углеродным атомам цепи. В такой конфигурации каждый атом титана может обратимо удерживать до пяти атомов водорода, что в макроскопическом пересчете дает около 7.6 вес. % или 65кг водорода на кубометр адсорбирующего материала [2].
Заманчиво, но, как повелось с библейских времен, желанный плод вкусить никак невозможно. Придется подождать. На этот раз не только не хватает экспериментаторов для проверки, но и химики пока не уверены, что такой материал можно вообще синтезировать.
М.Компан
ПерсТ, 2005, 12, вып. 10 - http://perst.isssph.kiae.ru/Inform/perst/2005/5_10/index.htm
Phys. Rev. Lett. 2006, 97, 056104
Прав был Джон Скотт Рассел, когда почти 200 лет назад, разгоняя баржей волны в канале, пророчил солитонам большое будущее. Обнаружение уединенных волн происходит все чаще и чаще в самых различных средах и областях науки. Недавние исследования японских ученых показали, что возможно создание таких магнетиков, в которых наблюдалось бы движение уединенных спиновых волн [1]. Для этого необходимо отсутствие в кристалле центра инверсии и конкуренция трех видов взаимодействий между спинами: обменного, диполь-дипольного и взаимодействия Дзялошинского–Мория. Эти взаимодействия оказываются конкурентами в спин-гамильтониане:

и приводят к формированию хиральной структуры и хиральной спиновой ориентации в кристаллах (рис.1).

Рис.1. Конкуренция обменного, диполь-дипольного и взаимодействия Дзялошинского-Мория, приводит к спиральной спиновой ориентации в кристалле.
Решение уравнений с выше написанным спин-гамильтонианом при определенном подборе параметров приводит к возбуждениям солитоноподобного типа, изображенным на рис. 2. При этом, хотя сами солитоны существуют всегда, маленькая величина взаимодействия Дзлошинского–Мория и слабое диполь-дипольное взаимодействие делают неудобными параметры этих возбуждений. Например, в большинстве случаев оказывается, что размер солитона составляет несколько тысяч параметров решетки, а характерная резонансная частота лежит вне области прозрачности материала. Все это говорит о том, что само по себе предсказываемое явление наблюдать довольно трудно в любом произвольно взятом материале, предоставленном природой. Именно поэтому необходим синтез серии кристаллов с управляемыми параметрами взаимодействий между спинами.
Как это водится у настоящих самураев, сказано – сделано. Совсем недавно была опубликована работа проф. K. Inoue, в которой сообщается о синтезе молекулярного ферримагнетика с подходящим балансом перечисленных выше взаимодействий [2]. Нужно отдать должное искусству химического дизайна и красоте получившейся структуры (рис. 3). Желтый цвет и игольчатая форма прекрасных кристалликов [Mn{(R/S) -pn}]2 [Mn{(R/S) -pn}2 (H2O) ] [Cr(CN)6]2 дали им название Yellow needle.
Использование ассимметричных комплексов переходных металлов (показаны отдельно от структуры слева на рис. 3) привело к тому, что и вся структура оказалась асимметричной в том смысле, что она лишена центра инверсии.
|
|
![]() |
|
Рис.2. Изображение распределения спиновой плотности в кристалле (слева), а также экспериментальные данные и их аппроксимация теоретической кривой для температурной зависимости магнитного момента образца (справа). |
|
За красотой спиралеобразной структуры стоит польза – силы магнитной анизотропии выстраивают спины в спирали неколлинеарно друг другу, а с преимущественным выделенным направлением, которое варьируется от спина к спину и, таким образом, приводит к спиральной спиновой структуре. Можно сказать, что структурная хиральность индуцирует хиральность спиновой плотности. Вообще говоря, спиральные цепочки неколлинеарных спинов изучаются очень давно в неорганических материалах (оксидах и халькогенидах редкоземельных элементов). Однако эти неорганические материалы не управляемы в смысле получения новых сочетаний и баланса магнитных и электрических взаимодействий внутри них. Молекулярные ферримагнетики, полученные химиками, в этом смысле являются существенным прогрессом для исследователей. В них имеется возможность изменения ориентации и типа лигандов, варьирования типа переходных ионов, являющихся поставщиками спиновой плотности, возможно изменение различных расстояний между спинами и достижение нужного магнитного состояния. В [2] была достигнута вполне приемлемая температура перехода в ферримагнитное состояние 73К, что уже близко к температуре жидкого азота и возможным практическим применениям. Но вот что насчет наблюдения магнитных солитонов?
Одним из следствий распространения солитонных возбуждений в цепочке спинов является наличие «зуба» на температурной зависимости магнитного момента материала [2]. Такой «зуб» был действительно обнаружен авторами [2] (рис. 2). Однако на наш взгляд это не может быть доказательством существования спиновых солитонов. Как известно, температурная зависимость магнитного момента может управляться массой различных факторов иного происхождения, таких как изменение главных осей поля анизотропии, наличия косвенного обмена через лиганды и т.п. Поэтому более прямым доказательство на наш взгляд является работа Лаборатории молекулярного магнетизма ИПХФ РАН (Черноголовка).

Рис.3. Атомная структура спин-хиральных кристаллов Yellow needle.
В [3] при изучении ферримагнитного резонанса в Yellow needle были обнаружены множественные пики резонансного поглощения микроволновой мощности, форма которых устойчиво воспроизводилась от пика к пику (рис. 4). Можно было бы думать, что это явление похоже на спин-волновой резонанс в тонких пленках, однако в пленках рост значения волнового вектора дает убывающую последовательность максимумов в направлении уменьшения внешнего магнитного поля, т.е. в прямо противоположную сторону по сравнению с тем, что наблюдается в новых кристаллах. Да и зависимость расстояний между пиками от магнитного поля подчиняется не стандартному квадратичному спин-волновому закону, а предсказаниям теории [1], согласно которым это расстояние должно быть пропорционально корню квадратному из величины поля (рис. 4).
|
|
![]() |
| Рис.4. Спектр ферримагнитного резонанса (слева) и зависимость расстояния между соседними пиками спектра от магнитного поля (справа) в кристаллах Yellow needle. | |
Таким образом, возможность управления спин-спиновыми взаимодействиями позволила получить новый тип магнитного состояния вещества. Он хорош не только для совершенствования наших знаний о магнетизме, но и в практических применениях. Тонкие ферромагнитные пленки сыскали себе славу наличием в них спин-волнового резонанса и возможностью производить высокоселективные фильтры СВЧ волн, резонансно поглощающие на тех частотах, которые подчиняются ясной и надежно воспроизводимой зависимости. Это свойство и используется в сотовых телефонах и других системах связи. Не пришла ли пора заменить недешевые пленки на хиральные магнетики, обладающие теми же свойствами, а, может быть, еще лучшими? Возможностей вариаций в этом случае открывается еще больше, чем в пленках, а спин-резонансные свойства зависят от хиральности используемых кристаллов. Так что рабочие частоты телефонов окажутся напрямую связаны с тем, левые или правые кристаллы используются в них в качестве фильтров. Препятствием к этому являются пока еще довольно низкие температуры магнитного упорядочения в молекулярных магнетиках, обладающих большим количеством органического «балласта».
Р.Моргунов
Angew.Chem. Int. Ed. 2005, 44
A. Hoshikawa, T. Kamiyama, A. Purwanto, K. Oishi, Chem. Int. Ed. 2003, 42, 4810
Kirman M. et al., Abstracts of International conference on magnetism ICM 2006, Kyoto, Japan
Instisute of Nanotechnology (IoN) недавно опубликовал два новых доклада по нанотехнологиям, в которых приводятся компании, университеты и исследовательские центры, работающие в области применений нанотехнологии для потребительских товаров, автомобильной и транспортной техники. По мнению IoN, первыми новые технологии принимают автомобильная и транспортная отрасли. Это - замена хрома, как технологического компонента, высокопрочные легкие компоненты, стойкие к стиранию покрытия, нанокатализаторы для снижения выхлопов двигателя, новые жидкие хладагенты и ферросреды, хранение водорода для топливных элементов, функциональные ткани и электрохромные стекла.
National Institute for Nanotechnoogy (NINT) в Канаде на площади 20 тыс. м2 стоимостью 52.2 млн долл. представляет «самое спокойное пространство в Канаде», территорию с ультранизким уровнем вибрации, минимальным акустическим шумом и низкой электромагнитной интерференцией. NINT находится в ведении National Research Council (NRC). Специализированные помещения включают лаборатории для химического и биохимического синтеза, анализа структуры материалов на атомном уровне и чистые помещения для изготовления наноструктурных систем.
ISI Journal Citation Reports сообщает первые данные по импакт-фактору (отношение полного числа цитирований к числу статей, опубликованных в данном журнале) научных журналов за 2005 год. Неожиданный успех выпал на долю нового журнала “Small” (издательство Willey). “Small” приводится в 5 предметных категориях, а ее показатель (1255) выводит журнал на вторую позицию в категории «Нанонаука и нанотехнология» и, возможно, что еще более поразительно, - на 12-ю позицию среди 388 журналов во всех пяти категориях, то есть, в верхние 3%, и впереди таких известных журналов, как «Chemical Communications (15-ая позиция), «Applied Physics Letters» (46-ая позиция), «Nanotechnology» (72-ая позиция).
Small 2006, 2, 938
20 - 22 ноября 2006 г. Санкт-Петербург, ФТИ им. А.Ф. Иоффе РАН. III Российская конференция "Физические проблемы водородной энергетики".
Организаторы::
Председатель Оргкомитета:
Проф. Забродский Андрей Георгиевич
Fax: (812) 297 1017
Тематика конференции:
Суперионные проводники и материалы композиционных электродов топливных элементов
Твердополимерные электролиты и мембраны
Высокоэффективные катализаторы для топливных элементов
Топливные элементы
Диагностика компонентов топливных элементов
Методы получения водорода и материалы для хранения водорода
Датчики водорода и вопросы безопасности
Предоставление тезисов до 09 октября 2006 г.
Секретарь Оргкомитета
Трапезникова Ирина Николаевна
Телефон: (812) 292 7173
FAX: (812) 297 1017
E-mail: hydrogen2006@mail.ioffe.ru
27 - 29 ноября 2006
г. Санкт-Петербург.
Санкт- Петербургская международная конференция по нанобиотехнологиям.
Тематика
Искусственные наноструктуры
Наноуглерод
Наноматериалы в энергетике
Системная биология
Синтетическая биология
Нанобионика
Нанодизайн
Биоинформатика
Нанодиагностика
Нанобиосенсоры
Риски для здоровья человека и окружающей среды
Образование и промышленные инновации в секторе нанобиотехнологий
Председатели конференции
Михаил Федоров (Россия), ректор Санкт-Петербургского Государственного Политехнического Университета, член-корреспондент РАН
Виктор Садовничий (Россия), ректор Московского Государственного Университета, академик РАН
Тезисы: 19 октября 2006
Извещение авторам: 23 октября 2006
Контакт
Факс: (812) 552-60-80
Тел.: (812)596-28-31
Е-mail: nanobio@spbcas.ru
Сайт:
www.spbcas.ru/nanobio
December 17 - 22 2006. Rome, Italy. 5th International Conference Stripes06.
SCOPE;
Quantum phenomena in complex electronic matter
Focusing on
functional materials as cuprates, borides, manganites, fullerenes, nanotubes, cobaltites, intercalated graphite, high pressures phases, new materials, ultracold fermion gases, quantum Hall systems
Important Deadlines
15 October: Abstract submission
E-mail: Conf.Stripes@roma1.infn.it
18-21 June, 2007.
Arlington, Virginia, USA.
2007 Nanoelectronic Devices for Defense & Security (NANO-DDS) Conference.
Web www.nano-dds.com/conf_scope.shtml)
Dwight Woolard
U.S. Army Research Office
E-mail:
dwight.woolard@us.army.mil
31
января - 02 февраля 2007 г. Москва,
Физический факультет МГУ им. М.В.Ломоносова.
5-я Всероссийская конференция «Нитриды галлия, индия и алюминия: структуры и
приборы».
Программа конференции
1. Подложки для эпитаксиального роста нитридов.
2. Технология материалов: рост объемных кристаллов.
3. Технология материалов: эпитаксиальные методы роста.
4. Оптические, электрические и структурные свойства материалов.
5. Свойства квантово-размерных структур на основе нитридов.
6. Конструкции и технологии (ростовые и постростовые) приборов на основе нитридов.
7. Электронные и фотоэлектрические приборы на основе нитридов.
8. Светодиоды и лазеры на основе нитридов.
9. Специальная сессия "Энергосберегающее освещение на основе светодиодных технологий".
Форма предварительной регистрации
1. Фамилия, Имя, Отчество.
2. Организация.
3. Должность.
4. Ученая степень, ученое звание.
5. Количество предполагаемых докладов (представляемых лично Вами).
6. Темы докладов, представляемых данным участником (в соответствии с нумерацией, приведенной в Программе конференции).
7. Необходимость финансовой поддержки.
8. Необходимость резервирования места в гостинице.
9. Телефон, E-mail.
Оргкомитет убедительно просит заполнить и прислать Форму предварительной регистрации в электронном виде по одному из адресов:
andrey.turkin@acol.biz или Nitrides2007@mail.ioffe.ru
Срок предварительной регистрации - до 01 ноября 2006 г.
Срок предоставления тезисов – до 1 декабря 2006 г.!
____________________________________________
Внимание!
С апреля с.г. ПерсТ выпускается только в электронном формате и представлен по адресу http://perst.isssph.kiae.ru . Желающие получать выпуски ПерсТа по своему электронному адресу могут сообщить его в адрес редакции stk@issp.ras.ru
Редактор С.Т. Корецкая
stk@issp.ras.ru
тел: (495) 930 33 89
Научный консультант: К.Кугель
kugel@orc.ru
В подготовке выпуска принимали участие:
О.Алексеева, В.Вьюрков, М.Компан, Р.Моргунов,