Связанные андреевские состояния в нанотрубках со сверхтоком
Эффект Джозефсона (протекание сверхтока через диэлектрический барьер между двумя сверхпроводниками) – одно из наиболее ярких проявлений сверхпроводимости. Будучи фундаментальным по своей природе, он используется и во многих практических приложениях, включая очень чувствительные датчики магнитного поля, сверхточные стандарты напряжения и пр. Толщина барьера должна быть достаточно мала, чтобы куперовские пары могли через него туннелировать (несколько нанометров). Позднее выяснилось, что сверхток может протекать не только по нано -, но и по мезоскопическим несверхпроводящим структурам, таким как углеродные нанотрубки [1]. Согласно существующим теоретическим представлениям [2] сверхток при этом переносится через дискретные электрон-дырочные состояния, называемые связанными андреевскими состояниями (САС), которые формируются при андреевском отражении электронов от одного контакта нанотрубки со сверхпроводником, а дырок – от другого (рис. 1a).

Рис. 1.
a
-
Замкнутый контур из сверхпроводника и углеродной нанотрубки;
b -
зависимость энергии
E
одного из связанных андреевских состояний и сверхтока
I
от разности фаз сверхпроводящего параметра порядка
f
по разные стороны от нанотрубки при различных значениях коэффициента прохождения
через контакты нанотрубка/сверхпроводник.
В работе [3] методом туннельной спектроскопии впервые экспериментально определен энергетический спектр САС в нанотрубке (длиной 0.7 мкм). Изменяя разность фаз f параметра сверхпроводящего порядка с разных концов нанотрубки посредством магнитного потока через замкнутый контур (рис. 1a), авторы [3] нашли зависимости энергий САС E и туннельного тока I от f. Полученные результаты хорошо согласуются с моделью туннелирования через резонансный уровень, согласно которой при малом коэффициенте T прохождения через контакты нанотрубка/сверхпроводник кривые E(f) и I(f) имеют гладкий косинусообразный вид, как и в обычном джозефсоновском контакте, а при T~1 в точке f = p наблюдается излом E(f) в минимуме и резкое изменение направления сверхтока (рис. 1b). Предполагается, что САС можно использовать в квантовой информатике как источник запутанных электронов.
Л.Опенов
1. A.Y.Kasumov et al., Science 284, 1508 (1999).
2. И.О.Кулик, ЖЭТФ 30, 944 (1970)..
3. J-D.Pillet et al., Nature Phys. 6, 965 (2010).
Сосуществование сверхпроводимости и ферромагнетизма: химический дизайн
Во многих сверхпроводниках (купратных и безмедных ВТСП, тяжелофермионых и органических материалах) имеют место магнитные корреляции, а области сверхпроводящего и магнитного порядка на фазовой диаграмме близки друг к другу. Однако сосуществование сверхпроводимости и магнетизма в одном соединении встречается крайне редко [1]. В работе [2] предложена общая стратегия “химического синтеза” гетероструктур, состоящих из чередующихся сверхпроводящих и ферромагнитных слоев. В таких гетероструктурах при понижении температуры один за другим (или почти одновременно) происходят и ферромагнитный, и сверхпроводящий переходы. Изготовили их в [2] следующим образом.

a - Сверхпроводящий слой [TaS2]-0.33 (синие сферы – атомы Ta, желтые – атомы S).
b - Магнитный слой [Ni0.66Al0.33(OH)2]+0.33 (серые сферы – атомы Ni белые – атомы Al, красные – атомы O).
c - Слоистая гетероструктура [Ni0.66Al0.33(OH)2][TaS2].
Исходными были слоистые соединения Na0.33[TaS2] и [Ni0.66Al0.33(OH)2](NO3)0.33. В растворе они диссоциируют, образуя на разноименно заряженные ионы [TaS2]-0.33 и [Ni0.66Al0.33(OH)2]+0.33, которые притягиваются друг к другу за счет электростатического взаимодействия и самоорганизуются в упорядоченную структуру [Ni0.66Al0.33(OH)2][TaS2] (см. рис.), так что слои TaS2 отвечают за сверхпроводимость, а слои Ni0.66Al0.33(OH)2 – за ферромагнетизм. Ферромагнитный переход имеет место при » 5 К, а сверхпроводящий – при » 4 К, поэтому при T < 4 К сверхпроводимость и ферромагнетизм сосуществуют. Полученные в [2] результаты указывают на двумерный характер сверхпроводимости слоев TaS2 и о несущественной роли джозефсоновского взаимодействия между ними. По такой же методике в [2] была изготовлена гетероструктура [Ni0.66Fe0.33(OH)2][TaS2], в которой TC и Tс различаются гораздо сильнее (16 К и 4 К, соответственно). “Химический подход” к синтезу гетероструктур сверхпроводник/ферромагнетик, во-первых, позволяет получать гораздо более качественные образцы, чем “физические методы” и, во-вторых, существенно расширяет диапазон таких гетероструктур. Интересно, в частности, посмотреть, что получится, если ферромагнитные слои заменить антиферромагнитными.
Л.Опенов
1. A.J. Drew et al., Nature Mater. 8, 310 (2009).
2. E.Coronado et al., Nature Chem. 2, 1031 (2010).
НАНОСТРУКТУРЫ, НАНОТЕХНОЛОГИИ, НАНОЭЛЕКТРОНИКА
Транзисторы из углеродных нанотрубок
Для
увеличения плотности размещения транзисторов на чипе требуется уменьшить их
размеры, которые определяются длиной канала (расстоянием источник-сток) Lch
и длиной контактов (источник/сток) Lc. Хотя полевые
транзисторы на основе углеродных нанотрубок и рассматриваются как возможные
преемники кремниевых предшественников, до сих пор в экспериментах не удавалось
довести Lch до нанометровых размеров и выяснить, не приведет
ли такое масштабирование к деградации рабочих характеристик. В работе [1]
показано, что транзисторы из нанотрубок прекрасно работают вплоть до Lch
= 15 нм и
Lc = 20 нм, то есть так называемый эффект короткого
канала отсутствует. При этом Ion = 10 мкА, а Ion/Ioff
~ 105. Таким образом, нанотрубочная технология может со временем
составить серьезную конкуренцию кремниевой.
1. A.D.Franklin, Z.Chen, Nature Nanotech. 5, 858 (2009).
Контроль и измерение электронных спинов в алмазе
В
работе [1] предложены и реализованы методики контроля и неразрушающего измерения
состояний электронных спинов NV-центров в алмазе. NV-центры представляют собой
пары “атом азота (замещающий атом углерода в узле решетки) – вакансия на
соседнем узле”. Методики основаны, соответственно, на оптическом эффекте
Штарка и эффекте Фарадея (см. рис.), то есть – на когерентном взаимодействии
спина со светом. После соответствующей модификации их можно использовать для
передачи квантовой информации между удаленными друг от друга NV-центрами в
твердотельной квантовой сети.
Угол, на который
поворачивается вектор поляризации
пробного оптического импульса,
зависит от направления электронного спина.
1. B.B.Buckley et al., Science 330, 1212 (2010).
Известно, что запутанность – “самый квантовый” из квантовых эффектов – может существовать лишь в том случае, когда энергия взаимодействия перепутанных подсистем между собой намного превышает тепловую энергию. Но, как показано в работе [1], это справедливо лишь при условии теплового равновесия с окружением. В неравновесной же ситуации, как предсказывает теория [1], все определяется эффективной температурой Teff, которая получается путем умножения температуры резервуара T на скорость приближения системы к равновесному состоянию и последующего деления на частоту квантовых осцилляций системы. В этом случае для поддержания запутанности необходима малость именно Teff, а она на эксперименте может быть сделана значительно меньше T. Таким образом, неравновесие делает возможным существование запутанности даже в “тепличных условиях”. Не исключено, что именно запутанность играет ключевую роль в таком важном для жизни на Земле (неравновесном по своей природе и пока еще до конца не понятом) процессе, как фотосинтез [2].
1. F.Galve et al., Phys. Rev. Lett. 105, 180501 (2010).
2. V.Vedral, Nature 468, 769 (2010).
Пули из светаСвет можно теперь не только “проливать”, нынче из него льют пули. По крайней мере, так утверждается в статье [1], сообщающей о получении оптических волновых пакетов, энергия которых локализована во всех трех измерениях.
При распространении импульса света дисперсия среды приводит к его расплыванию в продольном направлении, а дифракция – в поперечном. В одномерном случае, например при распространении волны в оптическом волокне, действие дисперсии компенсируется нелинейностью среды и возникает устойчивая уединенная волна – солитон. В трехмерном случае нелинейные эффекты теоретически могут побороть и дисперсию, и дифракцию. Луч света с гауссовым распределением интенсивности по радиусу изменяет показатель преломления среды таким образом, что набег фаз в центре пучка становится больше, чем на периферии, подобно тому, как это происходит в собирающей линзе. В результате такого эффекта самофокусировки удается скомпенсировать размытие пучка за счет дифракции. С другой стороны, в области аномальной дисперсии (где велико поглощение, а волны с большей частотой распространяются быстрее) те же нелинейные эффекты зависимости показателя преломления от интенсивности света позволяют импульсу распространяться без дисперсионного расплывания. Однако в обычной среде, вроде стекла, “световые пули” неустойчивы и век их недолог, поскольку тонкий баланс между нелинейными и линейными эффектами может нарушиться при самых небольших вариациях параметров импульса или материала.
Однако то, что невозможно в обыкновенной среде, становится реальным в искусственном материале с модулированным в поперечном направлении показателем преломления. Простейшим примером такой среды является пучок оптических волокон, расположенных друг от друга на таком близком расстоянии, что их вытекающие поля перекрываются, и в процессе распространения может происходить перекачка энергии из одного волокна в соседние (рис. 1). Ранее было предсказано, что в таких средах световые пакеты будут устойчивы [3-6], однако экспериментальное подтверждение заставило себя ждать более десятилетия.

а б
Рис. 1. а - Матрица из
оптических волокон с гексагональной упаковкой;
б - дифракционный узор при линейном режиме распространения света по волокну
[1].

Рис. 2. Распространение волновых
пакетов в системе из оптических волокон:
а - в линейном режиме с дифракционным размытием и дисперсионных
расплыванием;
б - в нелинейном режиме самофокусировки [2].
Авторы [1] изготовили гексагональную матрицу волокон из плавленого кварца длиной 40 мм и диаметром 10 мкм, причем расстояние между волокнами составляло 33 мкм. Только в последнее время удалось получить такую структуру с точностью, необходимой для экспериментов по нелинейному распространению волн. Длину волны подбирали используемого излучения 1.55 мкм подбиралась такой, чтобы попасть в диапазон аномальной дисперсии материала.
При небольшой мощности излучения свет распространялся в соседние волноводы, и профиль пучка расширялся (рис. 2а). При мощности импульса, большей 1 МВт, вступали в действие нелинейные эффекты: световое излучение локализовалось в первоначальном волноводе за счет эффекта самофокусировки, а длительность выходного импульса не отличалась от длительности входного.
Конечно, пока “оптический пулемет” бьет недалеко, и многое предстоит еще сделать (например, интересно проверить, как пули взаимодействуют, действительно ли как частицы?), но это уже другая история, оставим ее на следующий год.
А.Пятаков
1. S.Minardi et al., Phys.Rev.Lett. 105, 263901 (2010).
2. F.W.Wise, Physics 3, 107 (2010) http://physics.aps.org/
3. A.Aceves et al., Opt. Lett. 19, 329 (1994).
4. L.Berge, Phys. Rep. 303, 259 (1998).
5. D.Mihalache et al., Phys. Rev. E 70, 055603 (2004).
Магнитный полярон становится все заметнее
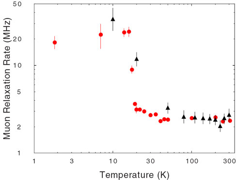
Накануне Нового года принято оглянуться назад, вспомнить былые успехи и неудачи, но больше всего хочется надеяться на везение в наступающем году. Попробуем оглянуться на спинтронику. Несмотря на обилие увлекательных идей и экспериментов, единственный эффект, который сейчас в ней реально работает, - это гигантское магнетосопротивление (GMR). Однако продвижение в нанометровые размеры вызывает большие затруднения. Вообще, хотелось бы, чтобы магнитные свойства управлялись бы электрическим, а не магнитным полем. Кроме того, хотелось бы, чтобы изменение магнитного состояния сопровождалось бы значительным изменением проводимости. В 1990 г. появилась яркая идея спинового транзистора, которая формально удовлетворяла этим пожеланиям. Прецессия спина в канале транзистора обусловлена эффектом спин-орбитального взаимодействия Рашбы. Ему удалось показать, что расчет, выполненный в многозонной модели, дает величину спин-орбитального взаимодействия на пять порядков превышающую величину, даваемую элементарным расчетом в однозонной модели. На практике выяснилось, что и добавленные пять порядков не спасают. Все равно взаимодействие слишком слабое. К тому же, проблема достаточно хороших спиновых инжекторов пока тоже не решена. Разбавленные магнитные полупроводники (DMS), т.е. полупроводники, в которые внедрены магнитные примеси, пока не позволяют с этим справиться. Зачем тогда “разбавленные”? Давайте использовать “настоящие” магнитные полупроводники. Они есть и давно известны. Переход из ферромагнитного состояния в немагнитное при повышении температуры может сопровождаться увеличением электросопротивления на 13 порядков. Природа этого перехода металл-диэлектрик связана с возможным существованием ферромагнитных капель нанометровых размеров - магнитных поляронов (ферронов), предсказанных Э.Л. Нагаевым еще в 1967 г. [1]. Магнитные поляроны представляют собой локализованные состояния носителей тока, которые таким образом “выпадают” из процесса проводимости. Конечно, хотелось бы, прежде всего, “увидеть” магнитный полярон. Сотрудники лаборатории В. Сторчака в Курчатовском центре нано-, био-, информационных и когнитивных технологий (НБИК-центр) уже много лет используют метод мюонной спиновой релаксации (µSR) для доказательства существования магнитных поляронов, о чем мы уже писали в ПерсТе [2, 3]. Мюоны поступают в материал со 100% спиновой поляризацией. После остановки в материале спин постепенно изменяет свою ориентацию. Это может быть вызвано как процессами релаксации, так и прецессией спина в локальном магнитном поле, например, в магнитном поле полярона. Сложной задачей является выделение процесса прецессии на фоне процессов спиновой релаксации. С этим удается справиться с помощью спектрального анализа.

Рис. 1. Зависимость частоты спиновой релаксации мюона от температуры для объемного образца EuS (кружки) и пленки (треугольники). Отчетливо виден переход материала в ферромагнитное состояние при температуре ниже температуры Кюри.
На рис. 1 один из результатов работы: спин мюона быстро релаксирует (прецессирует) в ферромагнитном состоянии, однако и выше температуры Кюри скорость релаксации достаточно велика (она отвечает нефлуктуирующей компоненте локального магнитного поля, равной примерно 30 Гс), что ясно свидетельствует о наличии ферромагнитных неоднородностей в немагнитной матрице [4]. Зная величину локального магнитного поля в поляроне, можно вычислить энергию связи и его радиус. Недавно авторам удалось обнаружить спиновые поляроны и в металлических магнетиках [5], где для их образования не требуется предварительной локализации на кулоновском центре.
Будем надеяться на то, что в Курчатовском НБИК-центре материалы с магнитными поляронами будут успешно внедрены в спинтронику, и, таким образом, магнитные поляроны будут “работать” в той же стране, в которой “родились”.
В.Вьюрков
1. Э.Л.Нагаев, Письма в ЖЭТФ 6, 484 (1967).
2. ПерсТ 16, вып. 6, с. 6 (2009).
3. ПерсТ 17, вып. 3, с. 3 (2010).
4. V.G.Storchak et al., Phys. Rev. B 81, 153201 (2010).
5. V.G.Storchak et al., Phys. Rev. Lett. 105, 076402 (2010).
Определение неоднородного магнитного состояния Fe/Gd гетероструктур
Магнитные наноструктуры уже работают в компьютерах благодаря открытию А. Фертом
и П. Грюнбергом гигантского магнитосопротивления (Нобелевская премия 2007 г.), и
их исследования активно продолжаются. Гетероструктуры
Fe/Gd
благодаря незначительной диффузии
Fe и Gd на границе
раздела являются идеальными модельными структурами со сложным магнитным
поведением. Обменные взаимодействия внутри слоев
Gd с объемной температурой
Кюри ТС=293 К невелики по сравнению с обменом внутри слоев
Fe с ТС=1043 К, в
интерфейсе есть сильный антиферромагнитный обмен
Fe-Gd.
Магнитная анизотропия незначительна в
Fe/Gd
структурах благодаря аморфной или поликристаллической структуре слоев.
Неоднородное магнитное состояние гетероструктуры
как
функция температуры и магнитного поля было расшифровано совместными
исследованиями рефлектометрии поляризованных нейтронов (PNR)
и резонансной рентгеновской магнитной рефлектометрии (RXMR)
[1].
Главным достоинством PNR метода является возможность непосредственно измерять атомные магнитные моменты внутри слоев в абсолютных единицах, но этот метод не является элементно-чувствительным. Напротив, основным достоинством синхротронных методов является элементная чувствительность благодаря резонансному усилению рентгеновского магнитного рассеяния вблизи края поглощения данного элемента. В режиме жесткого рентгеновского излучения (который реализован и у нас в России на синхротроне Сибирь-2 в Курчатовском институте) метод RXMR работает на К-краях переходных и L-краях редкоземельных металлов. Помимо элементной чувствительности, метод RXMR имеет еще высокое пространственное разрешение благодаря большой интенсивности синхротронного излучения. Слабость обоих методов PNR и RXMR заключается в отсутствии фазовой информации об измеренном рассеянии. Поэтому однозначное определение неоднородной магнитной структуры невозможно. Однако совместный анализ и моделирование нейтронных и синхротронных данных позволил авторам [1] выбрать надежную модель и описать элементно-чувствительный профиль магнитной структуры Fe/Gd. Интегральный магнитный момент гетероструктуры согласуется с независимыми измерениями СКВИД-магнитометрии и рентгеновского магнитного кругового дихроизма.
Магнитные
свойства гетероструктур [Fe/Gd]n
с большим числом повторений
n были исследованы ранее
методами PNR и
RXMR, которые подтвердили
справедливость теоретических расчетов [2], сделанных для
n = ∞. Согласно теории,
возможны три фазы: а) спины Gd
по полю (и спины Fe против
поля), б) Fe по полю (Gd
против поля), в) угловая фаза. Фаза “Gd
по полю” реализуется при низких температурах, фаза “Fe
по полю” при высоких температурах, а угловая фаза существует вблизи точки
компенсации Тсоmp
»60 К. Для
структуры с небольшим числом повторений (как
5
в работе [1]) можно указать различные факторы, усложняющие магнитное состояние.
Результаты обработки данных PNR и RXMR в модели, предполагающей возможность неоднородности модуля намагниченности в слое M(Z) или угла поворота Q(Z) вектора намагниченности, показаны на рис. 1. Здесь Q(Z) отсчитывается от внешнего магнитного поля, лежащего в плоскости слоя. При высокой (140 К) температуре (рис. 1a) и малом поле Н=50 mT реализуется фаза “Fe по полю” с моментом MFe=2.22 mB и неоднородным распределением модуля магнитного момента в Gd слоях. На границе Fe/Gd MGd=7.23 mB, а в середине слоя MGd=2.45 mB. Из-за антиферромагнитного обмена моменты Fe и Gd ориентированы антипараллельно.
![]() |
![]() |
![]() |
Рис. 1. Профили намагниченности
[Fe/Gd]n
гетероструктур:
|
При низких температурах ситуация более сложная (рис. 1b, c). Внутри слоев железа упорядочение однородно, хотя угол поворота QFe меняется от слоя к слою, причем большие изменения – в слабом поле Н=50 mT (рис. 1b). Магнитные моменты постоянны по модулю, но меняют свое направление внутри каждого слоя. Легко видеть, что скачок угла Q(Z) на каждой границе раздела Fe/Gd и Gd/Fe близок к 180°, то есть сильный антиферромагнитный обмен диктует антипараллельность спинов Fe и Gd. Сравнение рис. 1b и 1с показывает, что при одной и той же температуре (20 К) углы поворотов MGd сильно зависят от внешнего поля. Следует отметить, что угловая фаза появилась при низкой температуре далеко от точки компенсации, в отличие от гетероструктур с большим числом повторений. Таким образом, поведение систем с малым числом магнитных слоев оказывается гораздо более сложным и разнообразным, чем у бесконечной сверхрешетки.
С.Овчинников
1. E.Kravtsov et al., Phys. Rev. B 79, 134438 (2009).
2. R.E.Camley, Phys. Rev. B 39, 12316 (1989)
Новые данные о фуллеренах в космосе недавно опубликовали сразу две группы исследователей [1,2]. Особенно интересно то, что фуллерены найдены в богатых водородом туманностях. Напомним, что впервые фуллерены в космосе были обнаружены с помощью космического телескопа Spitzer летом этого года (см. ПерсТ [3]) – в спектрах планетарной туманности Тс 1 учёные из Канады и США идентифицировали молекулы С60 и С70 [4]. Молекул, содержащих водород, они не обнаружили. По мнению авторов этой работы, условия в туманности были идеальны для образования фуллеренов, т.к. именно наличие или отсутствие водорода в среде, богатой углеродом, определяет, какие молекулы могут быть сформированы – ароматические углеводороды или фуллерены. Но, как оказалось, в Космосе свои законы. С помощью того же космического телескопа Spitzer с ИК-спектрографом авторы новых исследований [1,2] выяснили, что водород не является помехой для рождения фуллеренов. Фуллерены могут образоваться наряду с полициклическими ароматическими углеводородами (ПАУ).
Учёные из Испании, США и Польши [1] обнаружили C60 вместе с ПАУ в четырёх планетарных туманностях – в трёх, принадлежащих нашей Галактике (М 1-20, М 1-12, К 3-54) и в одной (SMP SMCC 16) из Малого Магелланова Облака. Впервые фуллерены найдены за пределами нашей галактики! Малое Магелланово Облако (рис.1) и Большое Магелланово Облако – карликовые галактики, ближайшие соседи нашего Млечного Пути. Оба Облака окружены общей оболочкой из нейтрального водорода. Они видны невооружённым глазом в Южном полушарии, поэтому по ним ещё в древности ориентировались мореплаватели. Использовали их и участники экспедиции Магеллана во время первого в мире кругосветного путешествия; после гибели Магеллана в 1521г. Облака назвали в его честь. На радость астрономам сейчас в Большом и Малом Магеллановых Облаках наблюдается бурный процесс рождения звезд.

Рис. 1. Малое Магелланово Облако. Изображение получено в 2010 г. с помощью телескопа Spitzer (NASA/JPL-Caltech/STScI). Старые звёзды – голубые, молодые – зелёные/красные. В правом “крыле” в основном молодые звёзды. В верхнем и нижнем углах справа зелёное излучение от органической пыли в нашей родной галактике (главным образом от ПАУ).
ИК–спектры после вычитания непрерывного фона от космической пыли представлены на рис. 2, 3 [1]. В спектре каждой из четырёх планетарных туманностей имеются 4 сильные линии, характерные для С60 – 7.0; 8.5; 17.3 и 18.9 мкм (рис. 2). Характерные линии С70 – 12.6 и 14.9 мкм – видны слабо, причём только в спектрах М 1-20 и М 1-12. Из-за низкого разрешения нельзя судить о наличии или отсутствии С70 в других туманностях. Интересно, что во всех трёх туманностях нашей галактики исследователи обнаружили слабые линии полициклических ароматических углеводородов (~ 6.2; 7.7; 8.6 и 11.3 мкм)! Спектры представлены на рис. 3. Это противоречит выводам работы [4].
![]() |
|
| Рис. 2. Остаточный спектр планетарных туманностей в диапазоне 5-20 мкм. Для сравнения приведён спектр Тс 1 [4]. Длины волн, характерные для С60, показаны синим пунктиром, для С70 –красным пунктиром. |
Рис 3.
Остаточный спектр планетарных туманностей
Tc 1,
SMP SMC
16, M 1-20, M 1-12 и K 3-54 в диапазоне 5-12 мкм. Длины волн, характерные для ПАУ (6.2, 7.7, 8.6 и 11.3 мкм), показаны чёрным пунктиром. |
Полосы С60 для 4 исследованных туманностей очень похожи на полосы для Tc 1. Профили, положения, ширины полос указывают на нейтральность фуллеренов, которые вероятно находятся на поверхности углеродных частиц. Температура молекул С60 в трёх туманностях нашей галактики M 1-20, M 1-12, и K 3-54 по расчётам авторов [1] равна 425, 546 и 681К, что несколько выше, чем для Tc 1 (332К). По-видимому, эти молекулы, сосуществующие с ПАУ, находятся ближе к остатку звездного ядра. А вот температура С60 в другой галактике – в SMP SMC 16 – равна 326 К, то есть почти такая же, как для Tc 1. ИК-спектры этих двух туманностей очень близки, за исключением того, что в спектре SMP SMC 16 есть широкий пик в области 6-9 мкм, обусловленный гидрогенизированным аморфным углеродом или кластерами ПАУ, а в спектре Tc 1 его нет.
Расстояние до Малого Магелланова Облака хорошо известно – 61 килопарсек (примерно 200 тысяч световых лет). Это даёт уникальную возможность оценить массу фуллеренов. По расчётам авторов [1] масса С60 в SMP SMC 16 равна 5.44 •10-7 солнечных масс, или ~ 1024 кг - всего в 6 раз меньше массы Земли. От общего количества углерода в туманности это составляет 0.32%.
Таким образом, авторы работы [1] представили свидетельство рождения фуллеренов в околозвёздной или межзвёздной среде, содержащей водород. По их мнению, фуллерены образуются в процессе эволюции углеродистых соединений на поверхности частиц межзвёздной пыли. Сначала при наличии водорода образуется гидрогенизированный аморфный углерод. Затем сложные фотохимические процессы с участием УФ-излучения звёзд приводят к формированию из него ПАУ и фуллеренов. Молекулы С60 очень “прочные” и могут жить дольше, чем ПАУ, вероятно поэтому в спектрах Тс 1 есть только фуллерены. Это означает, что водород не только не мешает рождению фуллеренов, а, наоборот, необходим для образования их предшественника. Конечно, как именно происходят эти превращения, пока неясно. Чтобы разгадать все загадки, нужны не только астрономические наблюдения, но и исследования фотохимических процессов в земных лабораториях.
Авторы другой работы, учёные из США и Франции, зарегистрировали С60 в двух отражательных туманностях – NGC 2023 в созвездии Ориона (рядом со знаменитой туманностью Конская голова) и NGC 7023 (туманность Ирис) в созвездии Цефея [2]. В отличие от планетарных туманностей, которые формируются вокруг остатка звездного ядра в процессе эволюции звезды (подробнее см. ПерсТ [3]), отражательные туманности – это газово-пылевые облака, подсвечиваемые звёздами. Звёзды могут быть и в облаке, и рядом с ним. Например, в центре туманности Ирис находится молодая горячая звезда, еще на стадии формирования. Основной цвет туманности голубой, так как он рассеивается более эффективно.
Исследователи давно изучали туманность NGC 7023 и ещё в 2004 г. обнаружили там линии 17.4 и 18.9 мкм, характерные для С60 [5]. Но только недавно они смогли дополнительно зарегистрировать третью полосу 7.04±0.05 мкм и таким образом представили убедительное свидетельство рождения фуллеренов в межзвёздной среде (рис. 4). Такие же данные получены для NGC 2023. Как известно, должна быть ещё одна характерная полоса С60 при 8.5 мкм. Однако её трудно различить, т.к. она перекрывается с сильной линией при 8.6 мкм, относящейся к ПАУ. К ПАУ также относится сильная полоса при 16.4 мкм, зарегистрированная в спектрах отражательных туманностей. На рис.4 видны и другие сильные линии ПАУ (в том числе показанные на рис. 3).

Рис. 4. ИК спектры (Spitzer)
NGC 7023 и
NGC 2023.
Отмечены линии С60 (7.04; 8.5; 17.4 и 18.9 мкм).
Сильный пик при 8.6 мкм обусловлен присутствием ПАУ. 9.66, 12.3 и 17.0 мкм –
линии излучения водорода.
Пик 7.04 мкм на врезке (деление 0.1 мкм) получен после обработки спектра,
снятого в диапазоне 5-9 мкм.
По оси
Y
отложена спектральная плотность потока излучения в Ян на стерадиан, (1 Ян = 10-26
Вт•м-2•Гц-1).
Справа – изображения соответствующих туманностей: вверху
NGC
7023 (Hunter
Wilson
http://commons.wikimedia);
внизу
NGC
2023 (показана стрелкой), вблизи туманности Конская голова.
Проведя спектрографическое картографирование NGC 7023 авторы [2] доказали, что излучение 16.4 мкм в NGC 7023 имеет пространственное распределение, отличное от распределения для 18.9 мкм. Яркость излучения 18.9 мкм (С60) максимальна на центральной звезде, а излучения 16.4 мкм (ПАУ) – между областью 18.9 мкм и фронтом фотодиссоциации (рис. 5).

Рис. 5. Трёхцветное изображение
NGC
7023.
Излучение 18.9 мкм (С60) показано
красным; 16.4 мкм (ПАУ) – зелёным; 17.0 мкм (Н2) – голубым.
Отмечено местоположение звезды. Спектр, приведённый на рис. 4,
был измерен в области белого прямоугольника.
Математическая обработка спектров показала, что полоса 17.4 мкм состоит из двух пиков, один из которых относится к С60, а другой – к ПАУ, при этом и пространственное распределение одного соответствует 18.9 мкм (С60), а другого – 16.4 мкм (ПАУ).
Авторы [2] считают, что как фуллерены, так и ПАУ, поглощают УФ излучение звёзд, а затем переизлучают его в ИК-диапазоне. При этом ИК-излучение в NGC 7023 соответствует излучению молекул С60, находящихся не на поверхности твердых частиц, как показано в работах [1,4], а в газовой фазе. По оценкам авторов на долю фуллеренов приходится 0.1-0.6% межзвёздного углерода.
Новые работы [1,2] продемонстрировали, что обнаружить фуллерены можно в самых разных областях космоса. Фуллерены найдены не только в нашей Галактике, но и в соседней. Они формируются и в межзвёздной среде около молодых звёзд, и в оболочке угасших звёзд. Возможно, эти открытия приведут к изменению современного представления о химических процессах в околозвёздной и межзвёздной средах и способах синтеза фуллеренов.
Созвездия, в которых находятся отражательные туманности, изученные в [2], видны в северном полушарии неба. Орион очень легко найти – 3 звезды “пояса” Ориона указывают на Сириус, самую яркую звезду нашего зимнего неба.

Посмотрите в новогоднюю ночь на это созвездие!
Там так много фуллеренов…
О.Алексеева
1. D.A.Garcia-Hernandez et al., Astrophys. J. 724, L39 (2010).
2. K.Sellgren et al., Astrophys. J. 722, L54 (2010).
3. ПерсТ 17, вып. 18, с. 5 (2010).
4. J.Cami et al., Science 329, 1180 (2010).
5. M.W. Werner et al., Astrophys. J. Suppl.154, 309(2004).
Солнечная
батарея на основе молекул
фуллерена, инкапсулированных в углеродную нанотрубку
Углеродные наноструктуры благодаря своим уникальным электронным и оптическим характеристикам уже давно привлекают интерес исследователей в качестве основы солнечных батарей. Результаты экспериментов, выполненных многими авторами, демонстрируют возможность эффективного преобразования оптического и ИК излучения в электричество, как с помощью фуллеренов, так и с помощью углеродных нанотрубок (УНТ). Недавно исследователями из Tohoku Univ. (Японии) было показано, что такое преобразование может быть осуществлено с помощью “стручков” C60@SWNT, представляющих собой углеродную нанотрубку, заполненную молекулами фуллерена С60 [1]. Однослойные УНТ были синтезированы стандартным электродуговым методом с использованием Fe/Ni катализатора. Заполнение нанотрубок молекулами фуллерена С60 проводили методом диффузии паров. Схема экспериментального устройства, предназначенного для исследования процесса преобразования световой энергии в электрическую, показана на рис. 1.
Пленку УНТ наносили на пластину легированного кремния (n-типа), имеющего удельное сопротивление в диапазоне 8–12 Ом см. Окно, через которое свет попадал на пленку, имело размеры 1.5´1.5 см2. Au/Cr электрод толщиной 250 нм был отделен от пластины изолирующим слоем SiO2 толщиной 100 нм. В качестве второго электрода использовали Ti слой, напыленный на нижнюю поверхность пластины. В качестве источников излучения использовались либо ксеноновая дуговая лампа, соединенная с монохроматором и испускающая излучение в диапазоне 390–110 нм, либо ИК светодиод с длиной волны излучения 1550 нм. Выполненные измерения показали, что использование пленки стручков C60@SWNT вместо чистых однослойных УНТ приводит к существенному улучшению рабочих характеристик солнечного элемента.
|
|
|
| Рис. 1. Схема экспериментального устройства для изучения процесса преобразования световой энергии в электрическую. | Рис. 2. Зависимости напряжения холостого хода Voc и тока короткого замыкания Jsc от потока ИК излучения (λ = 1550 нм), измеренные для солнечной батареи на основе стручков C60@SWNT. |
На рис. 2 показаны зависимости напряжения холостого хода Voc и тока короткого замыкания Jsc от потока ИК излучения (λ = 1550 нм), измеренные для солнечного элемента на основе стручков C60@SWNT. Обработка результатов этих измерений показывает, что коэффициент преобразования энергии ИК излучения в электричество составляет 1.49´10-2 %. Столь низкая эффективность преобразования энергии объясняется в первую очередь относительно низкой плотностью пленки УНТ, которая способна поглотить лишь малую часть падающего света.
А.Елецкий
1. R.Hatakeyama et al., Appl. Phys. Lett. 97, 013104 (2010).
Полевой катод на
основе углеродных нанотрубок
с высокой плотностью тока эмиссии
Несмотря на очевидные преимущества использования углеродных нанотрубок (УНТ) в катодах в качестве источников холодной полевой эмиссии электронов и значительные усилия научного сообщества, направленные на реализацию этой идеи, до сих пор на рынке отсутствуют коммерческие приборы вакуумной электроники с катодами на основе УНТ. Причины такого положения обусловлены трудностями, возникающими при изготовлении полевого эмиссионного катода с оптимальными характеристиками. Согласно результатам многочисленных исследований, оптимальный эмиттер должен содержать регулярный массив вертикально ориентированных УНТ со строго определенным расстоянием между индивидуальными нанотрубками. Только в этом случае удается преодолеть эффект экранирования электрического поля соседними нанотрубками, снижающий коэффициент усиления электрического поля и по существу лишающий катод на основе УНТ его главного преимущества. Недавно группе исследователей из Univ. of Cambridge (Англия) совместно с несколькими китайскими учеными удалось разработать процедуру получения катода на основе УНТ, структура которого удовлетворяет сформулированным выше требованиям. С этой целью стеклянная подложка, покрытая молибденовым электродом, была подвергнута фотолитографической обработке, в результате которой поверхность обрела сотовую структуру, показанную на рис. 1.
Рис. 1.
Структура подложки, обеспечивающая рост массива УНТ
с заданным расстоянием между нанотрубками.
В показанные на рисунке канавки толщиной около 1
мкм напыляли многослойный катализатор
Al(10
nm)/Fe(1
nm).
Образец отжигали в течение 40 с в потоке аргона при температуре 420оС,
что приводило к формированию наночастиц катализатора. Рост вертикально
ориентированных УНТ проводили при температуре 450оС в потоке
ацетилена (C2H2)
при давлении 14 мбар и скорости подачи 200 см3/мин. При
продолжительности процедуры роста 60 с длина УНТ достигала 10 мкм, а диаметр
изменялся в диапазоне от 5 до 15 нм.
Эмиссионные свойства катода исследовали в двухэлектродной конфигурации при межэлектродном расстоянии 0.25 мм и давлении остаточного газа около 10-8 мбар. В качестве анода использовали стеклянную пластину, покрытую проводящей пленкой ITO. Площадь эмиттера составляла 4х4 мм2. Измерения показали, что пороговая напряженность электрического поля, обеспечивающая плотность тока эмиссии 1 мA/см2, составляет 1.5 В/мкм, в то время как максимальная плотность тока эмиссии (1.5 A/см2) достигается при напряженности электрического поля около 5 В/мкм. Обработка измеренных вольт-амперных характеристик эмиттера, выраженных в координатах Фаулера-Нордгейма, позволила определить величину коэффициента усиления электрического поля, которая оказалась равной 2400 (в предположении, что работа выхода электрона для УНТ составляет 5 эВ). Характер свечения люминофора, покрывающего поверхность анода, указывает на высокую степень однородности электронного пучка, эмитируемого катодом. Исследование стабильности эмиссионных характеристик УНТ катода проводили при давлении остаточного газа 10−6 мбар при начальной плотности тока эмиссии 200 мA/см2. Измерения показали, что ток остается стабильным в течение 42 ч, а по прошествии 100 ч наблюдается его медленный спад. При понижении остаточного давления газа до 10−8 мбар ток возвращается к исходному уровню. Такое поведение обусловлено адсорбцией кислорода, которая приводит к повышению работы выхода электрона.
А.Елецкий
1. C.Li et al., Appl. Phys. Lett. 97, 113107 (2010).
Ну, наконец! Окончательно становится понятным смысл старого высказывания – “кто владеет информацией, тот владеет миром”. Мы то думали – это метафора и вообще вне физики. Теперь же выясняется, что информация может превращаться в энергию и просто эквивалента ей. Конечно, в принципе отрицать такую возможность недальновидно: – разве знание кода кредитной карточки не позволяет оплатить освещение? Но что неожиданно – сообщение об этом опубликовано в уважаемом журнале Nature Physics [1] и в добавку растиражировано в Интернете с добавлением иллюстрации сонма демонов, реализующих заявленный процесс [2].
Если смотреть на вещи широко, основную идею обсуждаемой работы придумал еще Дж. Максвелл. Напомним основы: если некто гипотетический будет знать, с какой стороны и с какой энергий подлетает молекула к дверке в перегородке, то он сможет… и т.д. и т.п. Наиболее внятным решением этого парадокса было просто заметить, что сама формулировка начинается с недоказанного предположения о существовании такого “демона”. Принято было считать, что получающееся в итоге противоречие с термодинамикой уже достаточно для того, чтобы не принимать всерьез ни исходную условность, ни интригующие следствия. Однако массовые упражнения ученых в области нанометров – как раз на границе макро- и микромиров – не обошли и эту тему, и в последние годы появились соответствующие публикации (см. [1]). Однако утверждать, что “демон” продемонстрирован экспериментально, до работы [1] никто не решался.
Что же такого сумели сделать авторы статьи, чтобы претендовать на переход грани между материализмом и идеализмом?
Объект и техника, использованные в обсуждаемой работе, вполне материалистичны и современны. Объект – крупная гантелеобразная наночастица (около 400нм) – еще видимая в оптический микроскоп на пределе возможностей, но уже близкая к миру “микро” и оттого ведущая себя вполне по-броуновски. Для опытов объект фиксируют (как когда-то фиксировал собак в своих опытах академик И.П.Павлов). Наночастицу одной молекулой закрепляют на “потолке” кюветы (на внутренней, нижней поверхности верхнего предметного стекла) с буферным раствором, так что получается нечто вроде утопленного маятника, висящего, впрочем, весьма криво. Поскольку “наногантель” фиксирована в одной точке, то вращение ее вокруг точки закрепления – это то немногое, что ей осталось. В свою очередь, именно то, что она висит под стеклом наклонно, позволяет определить ее ориентацию.
За наночастицей в упомянутый ранее микроскоп наблюдает компьютерная система, способная определить, по какому азимуту “наногантель” отклонилась от вертикали. Система определения положения достаточно быстрая, с характерным временем порядка миллисекунды, что позволяет получать информацию о последовательности положений объекта и, тем самым оценить величину и направление его скорости. Микроскоп и компьютерная система – это глаза “демона”.
С “дверцей в перегородке” все чуть сложней. В той же кювете находится квадрупольная система электродов, которая может создавать электрическое поле с различной топографией, в частности, вращающееся эллиптическое поле. Диэлектрическая наночастица в поле поляризуется, что позволяет влиять на ее движение. Движение частицы (по оставшейся степени свободы) в основном броуновское, но переменное электрическое поле может создать временные локальные изменения потенциала, уменьшающее вероятность движения в ту или иную сторону.
Ну, вот собственно и все экспериментальные ухищрения. Зная азимут и направление вращения закрепленной частицы, авторы изменяют фазовый сдвиг между компонентами вращающегося эллиптического поля в соответствии с параметрами движения частицы, и обнаруживают, что при одних значениях фазового сдвига частицы– “наногантели” в среднем становятся более энергичными, а при других значениях, наоборот, менее. Авторы, правда, оперируют понятием потенциальной энергии по отношению к движению в вихревом поле, но на конечный результат эксперимента это не влияет.
Особой неожиданности в самом результате, пожалуй, нет. С некоторого возраста даже дети знают, что для того, чтобы хорошенько раскачать качели, силу надо прикладывать по направлению их движения, т.е. с учетом сдвига фазы. Те, кто успел забыть счастливое детство, могут вспомнить концепцию резонанса во вращающемся поле – с этим используемый в работе эффект также имеет довольно близкую аналогию. Но, с другой стороны, нельзя сказать, что авторы и забыли опыт детства, и ничему не научились за зрелые годы. По ходу статьи они плавно понижают уровень пафосности - от обещанного в заголовке превращения информации в энергию, к признанию в выводах, что в их опытах информация является лишь средой передачи энергии – что собственно, тоже, как минимум, метафора.
Так что позитивного в работе – только могучий замах, повод повторить классику и переосмыслить основы. Может быть, статья даже наводит на мысли о некоторой демоничности чрезмерной компьютеризации, но вот только на экспериментальное доказательство существования демонов она никак не тянет.
Можно встречать Новый Год, совершенно не волнуясь относительно демонов и первичности материализма.
Будьте здоровы!
М.Компан
1. Sh.Toyabe et al., Nature Physics 6, 988 (2010).
2. http://physicsworld.com/cws/article/news/44385
Повсеместно используемым наукометрическим показателем активности ученого является h-индекс, предложенный Хорхе Хиршем (J. Hirsch) в 2005 г. [1]. Индекс Хирша является количественной характеристикой, основанной на общем количестве публикаций отдельно взятого исследователя и количестве цитирований этих публикаций. Ученый имеет индекс h, если h из его Np статей цитируются как минимум h раз каждая, в то время как оставшиеся (Np–h) статей цитируются не более, чем h раз каждая [1]. Индекс Хирша представлен во многих реферативных базах данных, например, Web of Science, SPIRES или SCOPUS. Кроме того, h-индекс можно с легкостью рассчитать, используя общедоступные интернет-ресурсы, например, Google Scholar. Известный профессор астрофизики Принстонского университета Джон Ричард Готт (J.R. Gott), обратившись к электронной базе данных SAO/NASA Astrophysics Data System (ADS), проанализировал статистику цитирований в физике и астрономии [2]. В результате он пришел к выводу, что его индекс Хирша выше, чем у самого Альберта Эйнштейна: 46 против 27. Сам Готт считает, что любой индекс, по которому он опережает Эйнштейна, не является оптимальным. В частности, он подвергает критике h-индекс за то, что при его расчете не принимается во внимание индивидуальный вклад отдельного ученого в проделанную работу, отраженную в публикации. Другими словами, в “многоавторских” статьях индекс Хирша уравнивает вклад всех авторов, что эквивалентно тому, как если бы каждый из них написал данную работу самостоятельно. Для того, что бы обойти этот недостаток необходимо или учитывать очередность авторов, подчеркивая “первоавторский” статус, или попросту дробить авторский вклад поровну между всеми исследователями (нормированное цитирование). Кроме того, по мнению Готта, некоторые ученые настолько известны, что зачастую упомянуть их имя в аннотации или названии статьи, например, кольца Эйнштейна или постоянная Хаббла, проще и понятнее, чем отсылать читателя к оригинальным работам (скрытое цитирование). Основываясь на этих соображениях, Готт предлагает ввести в обиход, так называемый, E-индекс, пропорциональный общему числу цитирований, которое в свою очередь рассчитывается как сумма ½ “первоавторских” цитирований, ½ нормированных цитирований, упоминаний имен в аннотациях к публикациям и ссылок на имена непосредственно в заглавиях статей (отметим, что все эти функции легко реализуются в современных поисковых машинах). Согласно базе данных ADS на 1 января 2010 г. Эйнштейн имеет 71 444 цитирований. Готт вводит единицу цитирования “миллиЭйнштейн” (mE) равную 71.4 цитирований. Так, например, E-индекс Ферми оказывается равным 1277 mE, самого Эйнштейна – 1000 mE (по определению), Хаббла – 815 mE, Ландау – 657 mE, Виттена – 641 mE и т.д. Готт считает целесообразным использовать предложенный им E-индекс наряду с уже устоявшимся индексом Хирша для более полной и правильной оценки научной продуктивности физиков и астрономов XX и XXI столетий. Вобщем, и в наукометрии нет предела совершенству; напомним здесь, что попытки улучшить индекс Хирша предпринимались и ранее, см. например [3].
М. Маслов
1. J.Hirsch, Proc. Natl. Acad. Sci. USA 102, 16569 (2005).
2. J.Richard Gott III, Phys. Today 63 (11), 12 (2010).
3. M.G.Banks, arXiv:physic\06044216 (2006).
45-ая Школа
ПИЯФ РАН по физике конденсированного состояния (ФКС-2011),
14 -19 марта 2011 г., п. Рощино, Ленинградской области, Россия
Тематические разделы:
· Квантовые явления в конденсированных средах
· Фазовые переходы и критические явления
· Методы рассеяния синхротронного и нейтронного излучений
· Физика и технология наночастиц
Важные даты:
01.02.2011 - окончание регистрации
15.02.2011 - окончание подачи тезисов
Все подробности на сайте: http://lns.pnpi.spb.ru/fks2011/
Дорогие наши Читатели!
Пусть Новый год вам принесет
Со снегом - смех,
С морозом - бодрость,
В делах успех,
А в духе - твердость.
Пусть все заветное свершится
И, пересилив даль дорог,
Надежда в дверь к вам постучится
И тихо ступит на порог.
Мы от души вам всем желаем
Любви и радостных хлопот,
Пусть вас ничем не огорчает 2011-й год!
Редакция и авторы ПерсТа
_______________________________________________
С апреля 2006 г. ПерсТ выпускается только в электронном формате и представлен по адресу http://www.issp.ac.ru/journal/perst
и http://perst.isssph.kiae.ru . Желающие получать выпуски ПерсТа по своему электронному адресу могут сообщить его в адрес редакции persterst@issp.ras.ru
Ответственный редактор И.Чугуева irina@issp.ras.ru тел: (495) 930 33 89
Научные редакторы: К.Кугель kugel@orc.ru
,В подготовке выпуска принимали участие:
О.Алексеева, В.Вьюрков, М.Компан, М.Маслов, С.Овчинников, Л.Опенов, А.ПятаковКомпьютерный ввод, макет: И.Фурлетоватова